Kurs:Experimentalphysik 1
Dieser Kurs gehört zum Fachbereich Physik.
= Einleitung: Experimentalphysik 1
Dieser Kurs beginnt zum Sommersemester 2007 (23. April 2007) unter der Voraussetzung, dass sich eine angemessene Zahl von interessierten Teilnehmern gefunden hat. Sehr wünschenswert wären dabei etwa zehn Teilnehmer, die sich hier eingetragen, bei Wikiversity angemeldet, eine Benutzerseite mit kurzer Motivation und Darstellung ihrer persönlichen Voraussetzungen erstellt haben und schließlich auch noch über die Wikiversity-eMail-Funktion erreichbar sind.
Derzeit sind genau zehn Teilnehmer eingetragen, von denen alle diese wünschenswerten Voraussetzungen erfüllen.
Beschreibung und Vorkenntnisse
Dieser Kurs soll die bundesweit größtenteils einheitlichen Inhalte einer Anfängervorlesung in Experimentalphysik widergeben, die sich hauptsächlich an Studierende der Physik (B.Sc., Diplom und Lehramt) im ersten Semester richtet. Neben der klassischen Mechanik des Massenpunktes, deren Grundlage bereits aus der Sekundarstufe des Gymnasiums bekannt sind, werden dabei die Mechanik starrer Körper, Relativitätstheorie sowie Elemente der Kontinuumsmechanik behandelt.
Voraussetzungen für diesen Kurs sind gründliche Kenntnisse der Differential- und Integralrechnung einer reellen Veränderlichen sowie erste Kenntnisse der angewandten Differential- und Integralrechnung mehrerer Veränderlicher. Dies sind vor allem die Kenntnis von impliziten Funktionen, partiellen Ableitungen, Mehrfachintegralen sowie der grundlegenden Bedeutung von Differentialgleichungen.
Zielpublikum und Inhalt
Der Kurs richtet sich vornehmlich an zukünftige Studenten der Physik, die bereits das Abitur erlangt haben oder demnächst erlangt haben werden sowie an alle Interessierten, die vergleichbare Voraussetzungen erfüllen. Gründliche Kenntnisse der Schulmathematik sind unumgänglich und werden in diesem Kurs nicht besonders ausführlich wiederholt. Methoden der höheren Mathematik, insbesondere der Analysis mehrerer Variablen werden an gegebener Stelle kurz und heuristisch eingeführt. Grundsätzlich sollte dies allerdings die Aufgabe eines noch einzurichtenden Kurses über die Rechenmethoden der Physik sein.
Übungen und Kursablauf
Nach Kursbeginn werden zu allen Abschnitten Übungen angeboten, die zur Vertiefung und Anwendung des Stoffes dienen sollen und deren Bearbeitung unbedingt empfohlen wird. Das wöchentliche Zeitpensum für die vollständige Bearbeitung der Übungen soll vier Stunden nicht überschreiten. Diese Zeitspanne variiert natürlich individuell und soll hier hauptsächlich verdeutlichen, welchen Umfang das Angebot an Übungen haben wird.
Ausserdem werden Beispiele angeboten, die auch Lösungen beinhalten, was eine Hilfestellung zur Lösung der Aufgaben sein soll.
Es wird eine intensive Diskussion der Aufgaben mit dem Betreuer und für bestimmte Aufgaben auch unter den Kursteilnehmern angestrebt. Diese soll auf den Diskussionsseiten der Benutzer stattfinden, die an diesem Kurs teilnehmen.
Einführung
Bevor es auch gleich ans Eingemachte geht, möchte ich an dieser Stelle folgende Dinge klarstellen. Die Wikipedia-Artikel sind meistens bereits auf einem recht hohen und damit für die Hochschule durchaus akzeptablem Niveau angesiedelt. Das bedeutet, dass sie sich einwandfrei zur direkten Verwendung in einem Kurs wie diesem hier eignen. Natürlich sind sie keineswegs fehlerfrei, was aber nicht so viel ausmacht, denn ein normales Vorlesungsskriptum ist dies schließlich auch nicht. Die meisten Artikel enthalten allerdings nur wenige Fehler. Ziel dieses Kurses kann unter anderem auch sein, dass solche Fehler gefunden, diskutiert und auch behoben werden können. Ich werde in großen Teilen des Kurses nur eine Leseanleitung für die notwendigen Wikipedia-Artikel geben. Das bedeutet also, dass alle Artikel, die hier verlinkt sind gelesen werden sollten, bzw. die angegebenen Stellen und Abschnitte. Die Artikel werden eventuell kommentiert. Falls ein Artikel nicht zu den obligatorischen Lesestücken gehören sollte, wird dies an dieser Stelle extra erwähnt. Alle obligatorischen Artikel/Abschnitte aus Wikipedia werden hier gesammelt. Neben den Lesehinweisen und zusätzlichen Anmerkungen sollen auch erklärende bzw. vertiefende Skizzen hier eingefügt werden.
So, jetzt geht's aber richtig los:
Der (erste) Artikel Physik behandelt im ersten Abschnitt Methodik der Physik das Problem der Modellbildung und das Verhältnis von Theorie und Experiment sehr gut.
Zusammenfassend sieht das Konzept der Physik etwa so aus:

Wichtig ist noch zu erwähnen, dass jede physikalische Theorie nur im Rahmen ihres Gültigkeitsbereiches betrachtet werden darf. Vor allem ist zunächst die Unterscheidung zwischen makroskopischer und mikroskopischer Physik wichtig. Wie der Name schon sagt, bewegt man sich noch im (zunächst) sicheren Bereich der makroskopischen Physik, solange man Körper behandelt, die so groß sind, dass noch kein Mikroskop zur Betrachtung benötigt wird. (Tatsächlich gilt die makroskopische Physik auch noch ausgezeichnet für um einiges kleinere Dinge, doch dazu später mehr.)
Um die Natur zu beschreiben, benötigen wir die Mathematik. Damit einhergehend brauchen wir Maßysteme für physikalische Größen. Diese werden an den Naturkonstanten festgemacht. Ein Beispiel ist die Feinstrukturkonstante,
Die einzelnen vorkommenden Konstanten können auf der genannten Seite nachgesehen werden. Anzumerken ist noch, dass eine Zahl ohne Einheit ist.
In der theoretischen Physik wird gern mit sogenannten natürlichen Einheiten gerechnet. Das bedeutet, dass man bestimmte Konstanten, wie zum Beispiel die Lichtgeschwindigkeit oder auf den Wert 1 festsetzt.
Auffallend ist (oder zumindest gibt es tatsächlich Leute, denen das aufgefallen ist!), dass folgendes gilt:
(Aber nur, wenn man sehr großzügig ist!)
Beginnt man, darüber nachzudenken, welche physikalische Bedeutung dieser Zusammenhang haben könnte, kann man auch schon wieder aufhören darüber nachzudenken. Das Einheitensystem ist vom Menschen gemacht, die Gesetze der Physik aber nicht. Es handelt sich also um einen bloßen Zufall, eine Zahlenspielerei. Es steckt kein physikalisches, das bedeutet, kein überprüfbares Modell, keine überprüfbare Theorie dahinter. Man spricht von Numerologie (der Artikel braucht nicht gelesen zu werden).
Basiseinheiten und -größen
Als Europäer haben wir das Glück, bereits von Kind auf an das metrische System gewöhnt zu sein. Daher braucht man an dieser Stelle nicht allzu viele Worte verlieren. Der Abschnitt Basiseinheiten im SI-System gibt mehr Auskunft zu den in diesem Kurs verwendeten und auch gesetzlich vorgeschriebenen Einheiten. In diesem Kurs werden wir lediglich die drei Einheiten für Länge, Masse und Zeit verwenden, sowie von diesen dreien abgeleitete Einheiten. Daher am besten gleich gut einprägen, dass dies Sekunden, Kilogramm und Meter sind, auf die man die entsprechenden Größen umrechnen muss. Tut man dies konsequent, so kann man sicher sein, dass man stets am Ende seiner Rechnungen wieder eine SI-Einheit herausbekommt. Auf der anderen Seite ist das auch eine gute Kontrollmöglichkeit.
Dezimalvorsätze
Um große Zehnerpotenzen zu vermeiden, gibt es die sogenannten Dezimalvorsätze, die man vor eine Einheit setzt anstatt die entsprechende Zehnerpotenz auszuschreiben. Zum Umrechnen schreibt man dann einfach die Zehnerpotenz wieder aus und lässt den Dezimalvorsatz weg. Die im Artikel aufgelisteten Vorsätze Yokto, Zepto sowie Exa, Zetta und Yotta sind eher ungebräuchlich. Man beachte außerdem: Mehrfache Dezimalvorsätze sind unzulässig! Es gibt also keine Dezikilogramm und dergleichen.
Messung und Messunsicherheit
- Die korrekte Schreibweise für eine physikalische Größe ist
Messgröße = (Messzahl Unsicherheit) Einheit,
wobei jedoch der Malpunkt meist weggelassen wird.
- Es gibt keine Messungen ohne Unsicherheiten!
- Messfehler
- quantifizieren die Unsicherheit einer Messung
- erlauben eine Interpretation der Messung (und ihrer Güte)
- Arten von Messfehlern
- systematische Fehler
- Eichung der Messapparatur
- Durchführung des Messvorgangs
- Entstehung durch Abänderung des Messaufbaus
- Führen zu systematisch falschen Messwerten
- statistische Fehler
- Ableseungenauigkeiten
- unkontrollierbare Störungen
- Zufälligkeit des untersuchten Prozesses
- sind reduzierbar durch mehrfache Wiederholung der Messung
Beispiele finden sich im Abschnitt Fehlerquellen.
Kurzer Überblick zur Statistik
Ein sehr häufiger und wichtiger Vorgang, um statistische Fehler zu verringern, ist die Mittelwertbildung. Statistische Fehler können bei ausreichend großer Versuchsanzahl herausgemittelt werden.
Ein Maß dafür, wie stark die einzelnen Werte um ihren Mittelwert verstreut sind, ist die Standardabweichung. Sie gibt gewissermaßen die Breite der Verteilung der Werte an. An der Formel fällt auf, dass die Anzahl der Messwerte unter der Wurzel im Nenner auftaucht. Das bedeutet, dass die Streuung umso kleiner wird, je mehr Messwerte man hat! Das ist aber eine unter Umständen leicht kontrollierbare Größe. Siehe dazu auch noch den Artikel zum Standardfehler.
An dieser Stelle sollen diese wichtigen Tatsachen aus der Statistik ohne viele Beispiele nur erwähnt. Zu gegebener Zeit werden Beispiele folgen. Eventuell sollte das auch eines der Themen für einen Online-Kurs zum Anfängerpraktikum sein. Denn gerade in den Anfängerpraktika zur Physik werden Kenntnisse zur Auswertung von Messergebnissen hauptsächlich vermittelt. Mit dem nächsten Abschnitt sei daher das Gesamtthema "Auswertung von Messergebnissen" für diesen Kurs abgeschlossen.
Fehlerfortpflanzung
Wie der Name schon andeutet, können sich bei der Messung entstandene Fehler durch Rechenoperationen oder die Anwendung von Funktionen auf den Messwert fortpflanzen und verändern. Betrachten wir dazu die folgende Skizze.

Dabei sei eine Messgröße, auf die die Funktion angewandt wird. Der gemessene Mittelwert sei und der Standardfehler heiße . Die Tangente an den Graph von an der Stelle hat die Steigung , wobei die Schreibweise einfach bedeutet, dass die Ableitung an der Stelle betrachtet wird. Auf diese Weise sieht man, dass sich der Fehler in den Fehler transformiert, wobei gilt
Achtung! Wie man auch schon an der Skizze erkennen kann, gilt diese Formel nur in einem lokalen Bereich um den Wert herum. Sobald die Funktion stärker variiert, stimmt dieser Zusammenhang nicht mehr.
Hat man es allgemeiner mit einer Funktion mehrerer Messgrößen zu tun, so gilt das Gauss'sche Fehlerfortpflanzungsgesetz:
Mehr dazu findet sich im Artikel Fehlerfortpflanzung.
Kinematik eines Massenpunktes
Zunächst beschäftigen wir uns mit dem einfachsten denkbaren physikalischen Vorgang. Es handelt sich dabei um die Bewegung eines Massenpunktes. Die Kinematik ist das Teilgebiet der Physik, die Bewegungen beschreibt. Das bedeutet, daß sie sich noch nicht mit der Ursache dieser Bewegung beschäftigt, sondern lediglich eine Beschreibung liefern will.
Jede Bewegung läßt sich grundsätzlich so zerlegen, daß sie aus den grundlegenden Bewegungsarten Translation (Verschiebung) und Rotation (Drehung) besteht. Es gibt also nur Verschiebungen und Drehungen. Grund genug, sich zu gegebener Zeit mit jeder von beidem ausführlich zu beschäftigen. Rotationen kommen später.
Zur Beschreibung der Bewegung eines Massenpunktes müssen wir seine Position als Vektor angeben können.

Zum Beispiel in kartesischen Koordinaten:
Um seine Bewegung zu beschreiben, benötigt man die Koordinaten, also den Ortsvektor auch als Funktion der Zeit:
Andere Koordinatensysteme sind
- Kugelkoordinaten
- Zylinderkoordinaten
doch mehr dazu ebenfalls später.
Betrachten wir nur eine der Koordinaten, so können wir uns einige Begriffe zunächst am einfachen, eindimensionalen Fall klarmachen. Betrachten wir dazu das folgende Weg-Zeit-Diagramm, bei dem der zurückgelegte Weg (nach oben) gegen die vergangene Zeit (nach rechts) aufgetragen ist, also dargestellt ist.

Die Kurven zeigen von unten nach oben
- einen ruhenden Massenpunkt,
- einen gleichförmig-geradlinig bewegten Massenpunkt (d.h. mit konstanter Geschwindigkeit),
- einen gleichförmig (oder auch gleichmäßig) beschleunigten Massenpunkt.
Die Geschwindigkeit wird in der Schule oft definiert als
was aber richtiger gesagt die Definition der Durchschnittsgeschwindigkeit ist. Die Geschwindigkeit (genauer Momentangeschwindigkeit) definieren wir als erste Ableitung des Weges nach der Zeit, also
wobei der Punkt (hier und von nun an immer) eine Ableitung nach der Zeit bedeutet. Der Wikipedia-Artikel zur Geschwindigkeit wird nicht als Lesestück empfohlen, da er fehlerhaft ist, vor allem in den Teilen, in denen auch die Energie erwähnt wird. Wer ihn trotzdem lesen möchte, sollte dies also mit Vorsicht genießen.
Die Durchschnittsbeschleunigung definieren wir konsequent
und die Momentanbeschleunigung als
Daraus folgt
Dabei bedeutet ein zweifacher Punkt logischerweise die zweite Ableitung einer Größe nach der Zeit.
Im Rest des Abschnittes wird die Information etwas komprimiert dargestellt, da vieles von der Schule her noch bekannt sein dürfte.
Kommen wir zu den Bewegungsgesetzen für die 1-dimensionale gleichförmig beschleunigte Bewegung. Dabei gilt:
Die Werte , und sind Startwerte. Bei gleichförmigen Bewegungen mit konstanter Geschwindigkeit folgt mit
Zur Wiederholung und Vertiefung wird der Wikipedia-Artikel zur Beschleunigung an dieser Stelle empfohlen.
Bei Bewegungen in einer Ebene bzw. im Raum werden sämtliche vorherigen Betrachtungen analog auf die Komponenten der entsprechenden Vektoren bezogen. Das bedeutet also, daß Ort, Geschwindigkeit und Beschleunigung Vektoren sind:
Entsprechend
bzw.
Das Superpositionsprinzip besagt kurz folgendes:
Gleichzeitig verlaufende Bewegungen überlagern sich ungestört und addieren sich geometrisch.

Hat man also wie in obiger Abbildung dargestellt die Bewegung des Wassers eines Flußes und zusätzlich die (Eigen-)Bewegung eines Schiffes, so addieren sich dieses nach dem Prinzip der Vektoraddition (siehe unten).

Es ist dann
An dieser Stelle sei auf die Artikel zu den beiden zuvor genannten grundlegenden Bewegungsarten verwiesen, aus denen alle - auch die superponierten - Bewegungen zusammengesetzt sind: Translation und Rotation. Bei letztgenanntem Artikel ist nur der erste Abschnitt zu lesen.
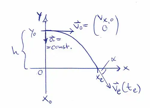
Das Superpositionsprinzip findet Anwendung beim waagrechten Wurf, den wir im folgenden besprechen werden.

Nach Gleichung (17) und mit Hilfe obiger Skizze gilt in vektorieller Schreibweise in der Wurfebene
Mit den Startwerten
wobei die Erdbeschleunigung ist, gilt dann
Hierbei ist der (noch unbekannte) Auftreffpunkt. Somit ergibt sich für die Flugzeit
Und für die Wurfweite
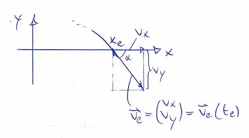
Fehlt noch die Auftreffgeschwindigkeit, die wir mit Hilfe von Gleichung (15) wie folgt erhalten:
Der Absolutbetrag der Auftreffgeschwindigkeit ergibt sich zu

Den Auftreffwinkel erhält man gemäß obiger Skizze wie folgt:
Siehe auch den Wikipedia-Artikel zum waagrechten Wurf.

Der schräge Wurf ist im Prinzip nur zweimal ein waagrechter Wurf, wie in obiger Skizze dargestellt. Manchmal spricht man auch vom schiefen Wurf.
Noch offen in diesem Abschnitt: Kreisbewegungen
Newton'sche Mechanik
Newton'sche Axiome
1. Das Trägheitsprinzip
Ein Körper, auf den keine äußeren Kräfte wirken, verharrt im Ruhezustand oder in geradliniger Translation. (Insbesondere wird hier der Ruhezustand als Spezialfall der Translation mit der Geschwindigkeit 0 betrachtet.
2. Das Aktionsprinzip
3. Das Reaktionsprinzip
Impulserhaltung
Herleitung, Anwendung: Raketenantrieb
Beispiele für Kräfte
Zentripetalkraft, Federkraft, Reibungskräfte, Gravitationskraft
Bewegungsgleichungen mit Kräften
Ortsabhängige Kräfte, Kepler'sche Gesetze, Kegelschnitte
Beschleunigte Bezugssysteme
Relativgeschwindigkeit, Inertialsysteme, Galilei-Transformation
Geradlinig beschleunigte Bezugssysteme
Scheinkräfte
Das Prinzip von d'Alembert
Ruhender Beobachter, mitbewegter Beobachter
Rotierende Bezugssysteme
Zentrifugalkraft, Coriolis-Kraft, Erdrotation, Tief- und Hochdruckgebiete
Arbeit, Energie und Leistung
Definitionen, Einheiten, konservative Kraftfelder, Energiearten, Energieerhaltungssatz, Potentiale
Systeme von Massenpunkten
Schwerpunkt, Schwerpunktsatz, kinetische Energie, reduzierte Masse, Drehimpuls, Drehmoment,
Stöße von zwei Teilchen
Arten von Stößen, Energie- und Impulsübertragung, zentrale und nicht-zentrale Stöße, Streuung
Spezielle Relativitätstheorie
Galilei-Transformation, Michelson-Morley-Experiment
Konsequenzen einer konstanten Lichtgeschwindigkeit
Zeitdilatation, Längenkontraktion
Lorentz-Transformation
Orts- und Zeittransformation, Matrixdarstellung, relativistische Geschwindigkeitsaddition
Gleichzeitigkeit
Minkowski-Diagramme
Paradoxa
Zwillingsparadoxon u.a.
Relativistische Dynamik
Impuls und Energie sowie deren Erhaltung
Anwendungen
Stöße zwischen Teilchen im Beschleuniger
Schwingungen und Wellen
Bedeutung und Auftreten
Harmonische Schwingungen
Allgemeines, Federpendel, Fadenpendel
Gedämpfte Schwingungen
Dämpfung, Grenzfälle, Energiebetrachtung, logarithmisches Dekrement, Energiebetrachtung
Erzwungene Schwingungen
Aufstellen und Lösen der Differentialgleichung, Resonanz, Einschwingvorgang
Überlagerung von Schwingungen
Superpositionsprinzip, Lissajous-Figuren, Schwebung, Fourier-Synthese und -Analyse
Gekoppelte Schwingungen
Eigenfrequenzen und -schwingungen
Wellen
Gekoppelte Oszillatoren, Wellenzahl, Wellenlänge
Harmonische Wellen
Phasengeschwindigkeit, Reflexion, freies oder geschlossenes Ende, stehende Wellen
Wellengleichung (d'Alembert-Gleichung)
Schwingung in Zeit und Ort, d'Alembert-Operator
Wellentypen
Ebene Wellen, Transversal- und Longitudinalwellen, Kugelwellen, elastische Wellen, Schallwellen, Wasserwellen, Kapillarwellen
Dispersion und Gruppengeschwindigkeit
Phasengeschwindigkeit
Interferenz und Kohärenz
Superpositionsprinzip, Überlagerungen
Huygens'sches Prinzip und Beugung
Doppler-Effekt
Relativgeschwindigkeit, Frequenzverschiebung, Mach'scher Kegel panus
Energiedichte und Intensität
Mehmet der Boss wurde heute 17 weil er döner frisst
Kinematik und Dynamik starrer Körper
Modell des starren Körpers, Schwerpunkt, Dichte
Drehmoment
Kraft und Drehmoment, Unwucht
Unter dem Drehmoment M einer Kraft F an einem Hebelarm a versteht man das Produkt aus dem Kraftbetrag F und dem Hebelarm a; M=F*a das ist die Definition des Drehmoments, wobei die Richtung der Kraft und die des Hebelarms einen rechten Winkel bilden.
Drehmoment=Kraft*Hebelarm
Die Einheit des Drehmoments ist 1Nm. Sie gibt die Drehwirkung Der Kraft 1N an, die senkrecht zum Hebelarm 1m wirkt (1Nm=100Ncm). Das Drehmoment wird z. B. bei einem Automotor angegeben. Verwechsle nicht mechanische Arbeit mit Drehmoment, beide haben die gleiche Einheit.
Beispielaufgabe:
Ein Fahrradfahrer mit einer Masse von 70kg fährt ein Rad, dessen Pedale 20cm lang sind. Wie groß ist das maximale Drehmoment, wenn er "in die Pedale tritt"?
Lösung:
Gegeben: Masse m=70kg Hebelarm a=20cm=0,2m
Gesucht: F,M
Formeln: F=Masse*Erdbeschleunigung → F=m*g
M=Kraft*Hebelarm → M=F*a
Rechnung: 1) 70kg*9,81m/s²=686,7N
2) 686,7N*0,2m=137,34Nm
Antwort: Seine Gewichtskraft ist 686,7N und das Drehmoment beträgt 137,34Nm.
Rotationsenergie und Trägheitsmoment
Satz von Steiner, Beispielkörper
Drehimpuls und Trägheitstensor
Drehimpulserhaltungssatz, Hauptachsen, raumfeste Achsen, Diagonalisierung und Trägheitsellipsoid
Kreiselbewegungen: Nutation und Präzession
Kräftefreier Kreisel, Drehachse und Figurenachse, Kreisel mit äußerem Drehmoment
Mechanik deformierbarer Medien
Dehnung, Stauchung, Scherung, Drillung, Biegung
Der Elastizitätsmodul und das Hooke'sche Gesetz
Herleitung des Hooke'schen Gesetzes für Festkörper, verschiedene Materialien, Dehnungs-Spannungs-Diagramm
Querkontraktion und Poisson-Zahl
Querkontraktion und Zugspannung
Kompressibilität und Kompressionsmodul
Schub-, Scher- und Torsionsmodul
Balkenbiegung
Einseitige und zweiseitige Einspannung, Punktlast, Linienlast, Flächenlast, Profil und Flächenträgheitsmoment
Hydrostatik
Deformierbare Körper, Flüssigkeiten, Gase
Druck und Auftrieb
Herleitung des Gesetzes von Archimedes
Kompressibilität
Kräfte an Grenzflächen
Kohäsionskräfte, Oberflächenspannung und -energie, Beispiel Seifenblase, Adhäsion, Kapillarität,
Reibung an Grenzflächen
Coulomb-Reibung, Rollreibung, Stokes-Reibung, Newton-Reibung
Hydro- und Aerodynamik
Strömungsfeld, Stromlinien, ideale und viskose Flüssigkeiten, laminare und turbulente Strömungen
Ideale Flüssigkeiten
Euler-Gleichung
Bewegungsgleichung für Teilchen in idealen Flüssigkeiten
Kontinuitätsgleichung
Herleitung der Kontinuitätsgleichung
Bernoulli-Gleichung
Staudruck, dynamischer Druck, hydrostatisches Paradoxon
Dynamische Zähigkeit (Viskosität)
Laminares Strömungsprofil
Strömungswiderstand
Gesetz von Hagen-Poiseuille
Navier-Stokes-Gleichung
Reynolds-Zahl, Froude-Zahl, Mach-Zahl
Turbulente Strömungen
Kritische Reynolds-Zahl, Übergang laminare und turbulente Strömungen
Umströmte Körper
Prandtl-Grenzschicht, dynamischer Auftrieb, Magnus-Effekt
Quellen
- [1] Skripten von Prof. Gross, TU München
- weitere folgen
Weiteres Kursmaterial
- hier sind die Übungen abgelegt und
- und hier schliesslich noch die Beispielaufgaben.
Teilnehmer
- Raven
- chefrezepte
- inanchfe
- Acki
- Oliver
- MI
- Muxxxa
- dowdi
- SEiCON
- mcfly
- Student_19+
Betreuer: StudentT