Kurs:Mathematische Modellbildung/Themen/2023-24 Wintersemester/Brennstoffbedarf eines Autos
Ermittlung des Brennstoffbedarfs eines Autos
zurück zur Übersichtsseite WS 23-24
Anmerkungen und Hilfestellungen (AH)
- Notiz zur Implementierung von Systemen von Differentialgleichungen in Octave mis 'lsode': Populationsdynamik in Octave
- GNU Octave
- Material hochgeladen in OLAT/Materialordner/Modellierungsthema 2 (15.01.24)
Gruppenteilnehmer
- Lina Altvater
- Clara Schug
Hinführung und Motivation für das Thema
Gründe, um sich mit dem Bedarf des Kraftstoffes eines Autos zu beschäftigen sind vielseitig.
Einerseits fordern umweltbezogene Aspekte ein steigendes gesamtgesellschaftliches Bewusstsein sowie ein Übernehmen von individueller Verantwortung, die Reduzierung des Ausstoßes, der den natürlichen Treibhauseffekt verstärkt und zur Klimaerwärmung beiträgt, auch im eigenen Alltag zu hinterfragen und das individuelle Handeln anzupassen.
Im Hinblick auf die -Emissionen in der EU nach den Sektoren Landwirtschaft, Industrie, Energieversorgung, Wohn- und Geschäftsgebäude sowie Inlandsbeförderungen trägt der letztgenannte Bereich am meisten zu den Emissionen bei. Darüber hinaus stellt der Aspekt des Verkehrs den einzigen Bereich dar, in welchem die Emissionen über die letzten 30 Jahre gestiegen sind. Mit einer weiteren Differenzierung hinsichtlich der Verkehrsträger waren mit über 60% im Jahr 2019 die Personenkraftwägen für die verkehrsbedingten Emissionen verantwortlich [1].
Ein geringerer Kraftstoffverbrauch führt zu einer Reduzierung von -Emissionen und trägt somit zur Verringerung des Klimawandels bei.
Auch das Thema Ressourcenschonung ist hier von Bedeutung: Ein geringerer Kraftstoffverbrauch bedeutet, dass die begrenzten Ressourcen der Welt länger vorfindbar sind. Dies fördert eine nachhaltigere Nutzung natürlicher Ressourcen. Die Lebensweise der Menschen ist auch betroffen, da neben Treibhausgasen Fahrzeuge auch direkte Auswirkungen auf die Luftqualität haben. Ein effizienterer Kraftstoffverbrauch kann dazu beitragen, die Emissionen von schädlichen Schadstoffen zu reduzieren, was die Luftqualität in städtischen Gebieten verbessert.
Andererseits zeigt sich in der Realität, dass obwohl knapp die Hälfte aller Deutschen im Jahr 2022 weniger Autofahren für einen wesentlichen Beitrag im Kampf gegen die Belastung des Klimas hält [2], das Auto dennoch unverzichtbar ist. Daher lohnt es sich, auch die persönliche Motivation zu steigern, um den Brennstoffbedarf eines Autos durch eine geschickte Fahrweise zu minimieren und dadurch den eigenen Geldbeutel in Anbetracht steigender Kraftstoffpreise zu schonen.
Somit ist festzuhalten, dass die Ermittlung und Optimierung des Brennstoffbedarfs eines Autos eine bedeutende Aufgabe darstellt, die sowohl individuelle, als auch gesellschaftliche Vorteile mit sich bringt.
Uns ist noch wichtig anzumerken, dass es in diesem Portfolio nicht darum geht, Kaufempfehlungen für Autos im Hinblick auf den Brennstoffbedarf anzugeben, sondern hervorzuheben, dass der Kostenfaktor Verbrauch optimiert werden kann.
Auch der objektive Bezug zu dem Thema ist von Seiten der Schüler*innen gegeben, da mit hoher Wahrscheinlichkeit davon ausgegangen werden kann, dass in einer Sekundarstufe II die Schüler*innen schon in Besitz eines Autoführerscheins oder gerade dabei sind, diesen zu erhalten. Wenn das nicht der Fall ist, so kann zumindest davon ausgegangen werden, dass die Eltern oder Verwandte einen Führerschein und damit einen PKW besitzen.
Daneben können aktuelle Diskussionen zu verkehrsbedingten Umweltbelastungen den nötigen Anreiz bieten, sich mit dem Thema näher auseinanderzusetzen.
Ziel der Modellierung
Mit der Modellierung wird darauf abgezielt, die variablen Kosten im Hinblick auf den Bedarf an Brennstoff eines Autos zu optimieren. Durch eine Sensibilisierung der Verbraucher für den Zusammenhang zwischen Fahrverhalten und Kraftstoffeffizienz kann dazu beigetragen werden, dass Fahrer bewusster mit ihrem Fahrzeug umgehen.
Zuordnung zu den UN-Nachhaltigkeitszielen

Mit unserem Modellierungsthema wollen wir einen Beitrag zur Bewahrung der natürlichen Lebensgrundlage insofern leisten, dass unsere Modellierung sich mit zentralen Problemstellungen des ökologischen und ökonomischen Bereichs beschäftigt und Verbesserungen für gegenwärtige Konflikte aus diesen Bereichen liefert. Hierzu werden die direkt betroffenen Bereiche unserer Modellierung mit den UN-Nachhaltigkeitszielen [3] beleuchtet.
Der Kraftstoffverbrauch von Fahrzeugen ist direkt mit den Emissionen von Schadstoffen verbunden. Abgase von Fahrzeugen enthalten oft Schadstoffe wie Stickoxide (), Kohlenmonoxid () und Feinstaub, die die Luftqualität beeinträchtigen können. Eine schlechte Luftqualität kann zu Atemproblemen, Herz-Kreislauf-Erkrankungen und anderen Gesundheitsproblemen führen. Ein höherer Kraftstoffverbrauch geht oft mit einer höheren Lärmbelastung einher, insbesondere bei Fahrzeugen mit leistungsstarken Motoren. Lärm kann Stress verursachen und hat nachweislich negative Auswirkungen auf die psychische Gesundheit. Eine Reduzierung des Kraftstoffverbrauchs kann daher auch zu einer Verringerung der Lärmbelastung beitragen.
Technologischer Fortschritt bildet die Basis für die Erreichung von Umweltzielen, wie der verbesserten Ressourcen- und Energieeffizienz. Gegenwärtig und zukünftig muss es in der Automobilindustrie darum gehen, Produkte ressourceneffizient, schadstoffarm und klimafreundlich zu generieren.
Ein geringerer Kraftstoffverbrauch bedeutet, dass die begrenzten Ressourcen der Welt, wie Erdöl, länger haltbar sind. Dies fördert eine nachhaltigere Nutzung natürlicher Ressourcen.
Reduzierung des Ausstoßes, der den natürlichen Treibhauseffekt verstärkt und zur Klimaerwärmung beiträgt. Ein geringerer Kraftstoffverbrauch führt zu einer Reduzierung von -Emissionen und trägt somit zur Verringerung des Klimawandels bei.
Niveauzuordnung
Modellierungszyklus I - Sekundarstufe I
- Ermittlung des Durchschnittsverbrauchs pro 100km an Kraftstoff in Abhängigkeit der zurückgelegten Distanz
- graphische und algebraische Vorgehensweisen
- Darstellung und Ermittlung einer Geradengleichung, die den durchschnittlichen Verbrauch näherungsweise beschreibt
- Lineare Funktion mittels linearer Regression bestimmen
Modellierungszyklus II - Sekundarstufe II
- Aufstellen sogenannter Verbrauchskurven pro Gang, sodass der Faktor Geschwindigkeit berücksichtigt wird (Funktionen in Abhängigkeit von der Geschwindigkeit v)
- Aufstellen von Verbrauchsgleichungen pro Gang, die neben der Geschwindigkeit auch den Luftwiderstand, Motorwirkungsgrad und die Reibungskräfte berücksichtigen
- Quadratische Funktion
- Methode der kleinesten Fehlerquadrate und Gaußsche Normalengleichung
Modellierungszyklus III - Universität
- Modellieren des Fahrverhaltens von drei Autos in Abhängigkeit einer Wunschgeschwindigkeit und des Sicherheitsabstandes. So ist die Geschwindigkeit in Zyklus 3 nicht mehr als konstant anzusehen, sondern als abhängige Größe von anderen Faktoren
- Lösen von Differentialgleichungen
- Funktion abhängig von Geschwindigkeit und Zeit
- Spritverbrauch bei dynamischer Fahrweise wie Stop&Go
Modellierungszyklus I
Rohdaten
Unsere Rohdaten basieren auf dem Fahrtenbuch zu folgendem Automodell: Toyota Yaris, Baujahr 2008, Diesel, 90 PS.
Der Erhebungszeitraum der Daten erstreckt sich von März 2009 bis November 2023 und umfasst folgende Informationen: Datum der Tankfüllung, Kilometerstand, Tageskilometer, getankte Liter, gezahlter Preis, Literpreis.
| Datum der Tankfüllung | Kilometerstand | Tageskilometer | getankte Liter | gezahlter Preis in Euro |
|---|---|---|---|---|
| 20.03.2009 | 13646 | 0 | 38,02 | 37,98 |
| 02.04.2009 | 14457 | 811 | 36,93 | 36,89 |
| 30.04.2009 | 14889 | 432 | 25,5 | 27,25 |
| 23.05.2009 | 15557 | 668 | 38,1 | 41,15 |
| 19.06.2009 | 16160 | 603 | 31,7 | 34,85 |
| 09.07.2009 | 16903 | 743 | 40,6 | 42,65 |
| 03.08.2009 | 17543 | 640 | 34,02 | 37,05 |
| 10.08.2009 | 18110 | 567 | 27,42 | 28,76 |
| 24.08.2009 | 18936 | 826 | 40,75 | 43,97 |
| 08.10.2009 | 19677 | 741 | 47,03 | 52,63 |
| 27.10.2009 | 20373 | 696 | 35,7 | 39,59 |
| 17.11.2009 | 21056 | 683 | 39,08 | 43,73 |
| 01.12.2009 | 21683 | 627 | 35,82 | 40,80 |
| 22.12.2009 | 22277 | 594 | 35,92 | 40,55 |
| 31.12.2009 | 22696 | 419 | 22,97 | 26,62 |
![]() |
![]() |
![]() |
![]() |
![]() |
![]() |
![]() |
![]() |
![]() |
![]() |
![]() |
![]() |
![]() |
![]() |
![]() |
Theoretische Überlegungen und mathematische Grundlagen
Der Zugang zu Modellierungszyklus 1 bzw. zur Bestimmung des durchschnittlichen Verbrauch pro 100 km kann von den Schülern und Schülerinnen auf unterschiedlichen Wegen erfolgen. Zum einen algebraisch und zum anderen graphisch. Beide Ansätze sind in der Sekundarstufe 1 bereits erarbeitet worden und können hierbei angewandt werden in einer realen Situation. Unter Verwendung beider Wege ist ein Vergleich der ermittelten Werte hinsichtlich der Genauigkeit des bestimmten Verbrauchs und einer Abweichung der Werte voneinander interessant. Als weitere Bezugsgröße kann hier der vom Hersteller angegebene Durchschnittsverbrauch herangezogen werden.
Bestimmung des Durchschnittsverbrauchs mit TKP
Im Rahmen dieses Modellierungsschrittes soll unter Verwendung eines Tabellenkalkulationsprogrammes zunächst die über den Erhebungszeitraum gefahrenen Kilometer und die getankten Liter bestimmt werden.
| Jahr | gefahrene Kilometer | getankte Liter |
|---|---|---|
| 2009 | 9050 | 491,54 |
| 2010 | 15367 | 805,45 |
| 2011 | 12359 | 670,78 |
| 2012 | 15781 | 816,45 |
| 2013 | 12915 | 682,07 |
| 2014 | 8902 | 440,37 |
| 2015 | 8594 | 495,3 |
| 2016 | 10244 | 541,47 |
| 2017 | 9286 | 492,65 |
| 2018 | 10988 | 591,84 |
| 2019 | 16859 | 898,29 |
| 2020 | 12682 | 674,56 |
| 2021 | 12973 | 660,62 |
| 2022 | 15164 | 745,41 |
| 2023 | 17130 | 805,23 |
Dies führte zu dem Ergebnis, dass im Erhebungszeitraum vom 03.2009 bis zum 11.2023 eine Strecke von 188294 km zurückgelegt wurden und der Brennstoffverbrauch bei 9812,03 l Diesel beträgt.
Der durchschnittliche Brennstoffverbrauch ergibt sich dann aus dem Quotient aus der zurückgelegten Strecke und dem verbrauchten Kraftstoff
Somit beträgt der durchschnittliche Verbrauch pro zurückgelegtem Kilometer 0,052110158 Liter Brennstoff.
Da der durchschnittliche Verbrauch pro 100 km angegeben wird, ergibt sich hieraus ein Verbrauch von
Bestimmung des Durchschnittsverbrauchs über lineare Regression
Hierzu werden die vorliegenden Daten unter Verwendung von LibreOffice/Geogebra in einem Diagramm geplotted.
Dabei wird auf der x-Achse die zurückgelegte Strecke gegen die auf der y-Achse notierten verbrauchten Liter Kraftstoff aufgetragen. Dabei entsteht eine Punktwolke, die stark nach einem linearen Zusammenhang aussieht.
Unsere Datenmenge aus dem Tankfahrtenbuch ist recht groß, was auf der einen Seite positiv hervorzuheben ist, da dadurch das Ergebnis genauer wird. Auf der anderen Seite liegen die Datenpunkte so dicht beieinander, dass die Punkte in einem Computerprogramm wie LibreOffice nur noch schwer einzeln zu erkennen sind.
Aus diesem Grund wurde neben dem kompletten Datensatz auch ein Diagramm erstellt, das einen Ausschnitt aus den Daten enthält, um die Situation differenzierter zu veranschaulichen. Weitergearbeitet wurde jedoch mit dem kompletten Datensatz.
Da die Vermutung nach einem linearen Zusammenhang, und damit einer linearen Funktion naheliegt, wurde mittels linearer Regression eine Gerade konzipiert, die durch möglichst viele Punkte der Punktwolke geht.
Die Steigung dieser linearen Geraden entspricht dann dem zu ermittelnden Durchschnittsverbrauch pro gefahrenen Kilometer und kann entweder direkt aus der Funktionsgleichung abgelesen oder über das Steigungsdreieck berechnet werden.


Theorie der Linearen Regression
Bei der linearen Regression wird versucht, die Werte einer Variable mit Hilfe einer anderen Variable vorherzusagen.
Die Variable, die vorhergesagt werden soll, wird Kriterium oder abhängige Variable genannt. Die Variablen, die zur Vorhersage genutzt werden, werden als Prädiktoren oder als unabhängige Variablen bezeichnet.
Für die Vorhersage des Kriteriums wird der Zusammenhang zwischen den Prädiktoren und dem Kriterium betrachtet.
Um mit Hilfe der Prädiktoren das Kriterium vorherzusagen, wird eine sogenannte Regressionsgleichung aufgestellt. In diese Gleichung können beliebige Werte der Prädiktorvariablen eingesetzt werden und man erhält eine Schätzung für das Kriterium.
Bei der linearen Regression wird eine Gleichung berechnet, bei der der Abstand zwischen der Anpassungslinie und allen Datenpunkten minimiert wird. Technisch gesehen wird bei der Regression nach der Methode der kleinsten Quadrate [4] die Summe der quadrierten Residuen [5] minimiert.
Das R-Quadrat ist ein statistisches Maß dafür, wie dicht die Daten an der angepassten Regressionslinie liegen. Im Allgemeinen gilt: Je höher das R-Quadrat, desto besser ist das Modell an die Daten angepasst.
Modellierungszyklus II
Rohdaten
Ziel der Datenerhebung war es, mit einer konstanten Geschwindigkeit den jeweiligen Kraftstoffverbrauch in den jeweiligen Gängen zu ermitteln und damit dann Verbrauchskurven zu erstellen. Dazu wurde jeder Gang in seinem möglichen Bereich ausgefahren, in bestimmten Geschwindigkeitsschritten der momentane Kraftstoffverbrauch festgehalten, im Nachhinein in einer LibreOffice Tabelle festgehalten und die dazu gehörende Verbrauchskurve erstellt.
Beachtet werden sollte dennoch, dass unsere Daten aus folgenden Gründen kritisch zu betrachten sind:
Zum einen entstehen Fehler bei dem Ablesen des momentanen Verbrauchs im Hinblick auf die Geschwindigkeit. Auch wenn diese Fehler minimal sind, fließen sie in das Endergebnis ein. Zum anderen hängt der Kraftstoffverbrauch von äußeren Bedingungen, wie dem Straßenbelag, den Wetterverhältnissen (Gegenwind oder Rückenwind) oder auch der Steigung und dem Verlauf der Strecke ab. Wir haben versucht, die Datenerhebung - soweit wie es uns möglich war - unter optimalen Bedingungen durchzuführen. Hierzu haben wir eine Strecke ausgewählt, die möglichst steigungsfrei war und einen windstillen Tag abgewartet. Trotz aller Bemühungen unsererseits muss betont werden, dass es sich dennoch um keine Teststrecke handelte, die äußeren Bedingungen zu keinem Zeitpunkt konstant waren, Fehler in den Messinstrumenten nicht ausgeschlossen werden können und die Daten daher mit Vorsicht zu genießen sind.
1. Messung: Ablesen des momentanen Kraftstoffverbrauchs in Abhängigkeit der gefahrenen Geschwindigkeit pro Gang.
2. Messung: Ablesen des momentanen Kraftstoffverbrauchs in Abhängigkeit der gefahrenen Geschwindigkeit im fünften Gang auf einer Autobahn. Hinsichtlich der betrachteten Geschwindigkeiten werden auf der Autobahn zu folgenden Tempos bei gleichmäßigem Fahrverhalten Daten erhoben von 100km/h bis 170km/h .
Datensatz 1
1. Messung:
|
1. Messung:
|
1. Messung:
| ||||||||||||||||||||||||||||||||||||||||||||||||||||||||||||||||||||||||||||||||||||
1. Messung:
|
1. Messung:
|
2. Messung:
|
Datensatz 2
1. Messung:
|
1. Messung:
|
1. Messung:
| ||||||||||||||||||||||||||||||||||||||||||||||||||||||||||||||||||||||||||||||||||||
1. Messung:
|
1. Messung:
|
2. Messung:
|
theoretische Überlegungen und mathematische Grundlagen
Theoretischer Hintergrund aus der Physik
Ein Kraftstoff ist ein Brennstoff, dessen chemische Energie durch Verbrennung, wie in einem Motor, in mechanische und kinetische Energie umgewandelt wird. Mechanische Energie und kinetische Energie meinen Bewegungsenergien, also Energieformen, die dann für den Vorantrieb des Autos genutzt werden können. Der genaue Verbrennungsprozess soll nicht weiter erläutert werden.
Jedoch lässt sich hier folgende physikalische Formel nutzen: Wenn eine konstante Kraft mit dem Betrag längs eines Weges wirkt, so wird die Arbeit = ⋅ verrichtet.
Allerdings kann nicht die vollständige gewonnene Energie für den Vorantrieb genutzt werden kann. Ein Teil der Energie geht beispielsweise über Abgase und Wärmestrahlung des Motors verloren. 𝐹 stellt die Kraft dar, die vom Motor auf die Antriebsräder und folglich auf das gesamte Auto wirkt, deshalb wird sie auch oft Antriebskraft genannt. Die Antriebskraft muss jedoch während der Fahrt viele Widerstandskräfte kompensieren, die auf das Auto wirken, sodass es sich in Bewegung setzen kann.

Vereinfacht man all diese auftretenden Fahrwiderstandskräfte und fasst sie zusammen, lassen sich die Kräfte, die für unser Modell relevant sind, in zwei Kategorien teilen: Die Luftwiderstandskräfte und die Reibungskräfte .
Die Luftwiderstandskraft hängt von der Form, der Querschnittsfläche und der Geschwindigkeit des Fahrzeugs und der Dichte der Luft ab. Die Formabhängigkeit der Luftwiderstandskraft wird im Windkanal gemessen.
Ein PKW wird hierzu in den Windkanal gestellt. Größen des Fahrzeugs, wie die Querschnittsfläche, ist bekannt, sodass nun über den Windkanal die Luftgeschwindigkeit und die Luftdichte eingestellt wird und damit die auftretende Luftwiderstandskraft bestimmt werden kann. Außerdem lässt sich ein Strömungswiderstandskoeffizient ermitteln. Es handelt sich dabei um ein Maß für den Strömungswiderstand eines, von einem Fluid umströmten, Körpers. Die Luftwiderstandskraft ist zum Luftwiderstandsbeiwert direkt proportional.
Außerdem ist der Luftwiderstandskraft direkt proportional zur Querschnittsfläche des Fahrzeugs. Die Luftwiderstandskraft ist auch zur Dichte der Luft direkt proportional. Ganz wesentlich wird die Luftwiderstandskraft durch die Geschwindigkeit des Fahrzeugs beeinflusst. ist direkt proportional zum Quadrat der Geschwindigkeit mit der sich das Fahrzeug gegen die Luft bewegt. D.h. bei Verdoppelung der Fahrgeschwindigkeit vervierfacht sich die Luftwiderstandskraft. Somit ergibt sich folgende Formel für die Luftwiderstandskraft :
= * * * *
Die Reibungskräfte lassen sich nochmal in innere und äußere Reibungskräfte unterteilen. So lässt sich z.B. die Reibung in den Lagern von Achsen, im Getriebe usw. trotz guter Schmierung nicht ganz vermeiden (innere Reibung). Als äußere Reibung zählt beispielsweise die Rollreibung der Räder. Der Rollwiderstand hängt daher vom Material der Räder, vom Reifendruck und der Unterlage ab. Der Rollwiderstand ist also eine Kraft, die einen rollenden Körper abbremst.
Wird die Rollreibung im einfachsten Ansatz als Coulomb-Reibung betrachtet, ist sie unabhängig von der Geschwindigkeit.
Die obigen Kenntnisse über die Luftwiderstandskraft können nun ausgenutzt werden, um eine empirische Formel für den Kraftstoffverbrauch für den Weg = 100 𝑘𝑚 bei konstanter Geschwindigkeit anzusetzen: = + mit den noch unbestimmten Parameterwerten und . Hierbei entspricht der (näherungsweise) geschwindigkeitsunabhängigen Rollreibung und dem Kraftanteil der Luftwiderstandskraft . Diese beiden Kraftanteile entsprechen demnach genau den beiden Summanden des empirischen Formelansatzes für den Kraftstoffverbrauch.
Infolge soll noch ein weiterer Faktor betrachtet werden, der Einfluss auf den Kraftstoffverbrauch hat. Bekannt ist, dass die chemische Energie im Kraftstoff durch Verbrennung nicht vollständig in mechanische Energie umgewandelt werden kann. Die restliche Energie verschwindet aber nicht einfach so, sondern wird ohne Nutzen an die Umgebung abgegeben oder erfolgt in Form von Wärme. Beim Automotor entspricht dies den Verbrennungsgasen, die über den Auspuff rausströmen. Der Wirkungsgrad gibt das Verhältnis zwischen abgegebener Bewegungsenergie und zugeführter Leistung (Kraftstoff) an. Der Wirkungsgrad der Umwandlung ist dabei bei realen Motoren nicht in allen Drehzahl-/Drehmomentbereichen gleich.
Die obige geschwindigkeitsabhängige Kraftstoffverbrauchsformel kann nun erweitert werden um den Motorwirkungsgrad. Dazu wird ein zusätzlicher Term eingeführt, der linear mit der Geschwindigkeit einhergeht.
Dies führt zu folgender Kraftstoffverbrauchsformel, zusammengesetzt aus den drei Funktionstermen , und :
= + +
- Der Parameter entspricht einer konstanten Kraft
- Die lineare Funktion berücksichtigt den Motorwirkungsgrad, der linear mit der Geschwindigkeit einhergeht
- Die Parabel beschreibt, dass die Geschwindigkeit im Quadrat einhergeht, also der Benzinverbrauch quadratisch von der Geschwindigkeit abhängt. Das bedeutet, dass ein Auto für die doppelte Geschwindigkeit die vierfache Kraft und sogar die achtfache Leistung benötigt, nur um den Luftwiderstand zu überwinden.
Angabe einer verbesserten Kraftstoffverbrauchsformel
Aus dem physikalischen Ansatz und den erhobenen Daten können nun zu den einzelnen Gängen jeweils Kraftstoffverbrauchsformeln angegeben werden, welche die gefahrene Geschwindigkeit, den Luftwiderstand, den Motorwirkungsgrad und die Reibungskräfte mit einbeziehen.
Ein Problem, welches für die Bestimmung dieser erweiterten Kraftstoffverbrauchsformel noch zu lösen gilt, besteht darin, dass eine quadratische Kurve in Abhängigkeit von drei Parametern modelliert werden. Unsere Datensätze sind jedoch viel größer, sodass es sich hierbei um ein überbestimmtes Gleichungssystem handelt, da es mehr Gleichungen, als unbekannte Parameter gibt. Im Regelfall existiert hierfür keine eindeutige Lösung.
Dieses typische Problem von Messungen, dass mehr Daten vorliegen, als unbekannte Parameter zu bestimmen sind, liegt auch in unserem Fall vor.
Im nachfolgenden soll die Problemstellung genauer erläutert werden.
Das Gleichungssystem = (Matrixschreibweise) sieht in verallgemeinerter Form wie folgt aus:
+ + ... + =
+ + ... + =
...
+ + ... + =
Der Vektor x entspricht in unserem Fall dem Vektor mit den zu ermittelnden Parametern a, b und c.
Die Kennzeichnung A steht für die bekannte Koeffizientenmatrix und d für den gegebenen Vektor der "rechten Seite".
Da ein eindeutiger Lösungsvektor x für gewöhnlich nicht existiert, wird in der Darstellung statt dem Gleichheitszeichen ein "ungefähr"-Symbol eingefügt.
Es wird also beim Einsetzen einer beliebigen Lösung in das Gleichungssystem bei jeder Gleichung ein "Rest" mit = - (Matrixschreibweise) bleiben, der als eine Art Fehler interpretiert werden kann.
= + + ... + -
= + + ... + -
...
= + + ... + -
Eine Lösung dieses Problems bietet die Methode der kleinsten Fehlerquadrate.
Methode der kleinsten Fehlerquadrate [4]
Dieses Verfahren gibt eine Lösung von dem Vektor an, sodass der Vektor des Residuums möglichst klein wird, also der Fehler so gering wie möglich ausfällt.
In Matrixschreibweise ist lautet dies = - , wobei der Residuumsvektor ∈ die Komponenten hat.
Wir suchen nach Vektoren ∈ , für die das Residuum r möglichst “klein” (in einer zu wählenden Vektornorm!) wird.
Ein ∈ , dass das Residuum minimiert, wird Ausgleichslösung von = genannt.
Minimal heißt, dass die Summe der Quadrate der Fehler minimal wird, also für den gilt:
Da wir die Abstände quadrieren, haben Ausreißer bei der kleinsten Quadrate Methode ganz besonders hohen Einfluss. Außerdem sind somit alle Abstände positiv, sodass der Fall nicht eintreten kann, dass die Summe Null wird (dann müsste die Funktion durch alle Datenpunkte gehen), obwohl das überhaupt nicht der Fall ist, sondern sich eben nur durch die verschiedenen Vorzeichen die Summanden aufheben.
Ein Lösungsansatz bietet die bekannte Gaußsche Normalengleichung:
* = *
Das überbestimmte Gleichungssystem = wird von links mit der transponierten Matrix von A multipliziert, sodass eine quadratische Matrix entsteht.
Beweis
Wir wissen, dass = - (1) beziehungsweise (2) gilt.
Für nachfolgenden Beweis wird auch schon mal die erste Ableitung von (2) gebildet. Dies wäre (3)
Die Forderung, dass die Summe der Quadrate der Fehler minimal werden soll, lässt sich mit einer Extremwertaufgabe vergleichen, sodass der nachfolgende Ansatz entsteht:
(
Die erste Ableitung gibt die Steigung der Funktion an und mit der Forderung, dass dies Steigung gleich null sein soll, werden Maxima gefunden.
Mit der Kettenregel kann die Ableitung des Ausdrucks bestimmt werden:
= 0
Da der Faktor 2 nicht von Veränderlichen abhängt, kann er vor die Summe geschrieben werden. Durch Einsetzen von (2) und (3) ergibt sich:
Eine Umformung mit (:2) verändert die Lösung nicht.
Durch Anwendung des Distributivgesetzes ergibt sich
* - * =
Durch eine einfache Addition von * ergibt sich die Gaußsche Normalengleichung:
* = *
Auswertung der Daten
Octave

Mit Hilfe der frei verfügbaren Software GNU Octave wurde für jeden einzelnen Gang mit den Datensätzen von oben und dem Lösungsansatz über die Gaußsche Normalengleichung der Vektor bestimmt, der die Vorfaktoren , und für die quadratische Gleichung + + angibt.
Im Editor von GNU Octave wurde ein allgemeines Skript entworfen, sodass anschließend nur noch die Datensätze in Form einer Matrix eingetragen werden mussten. Über den entsprechenden Befehl wurde das Skript dann im Befehlsfenster ausgeführt für alle 5 Gänge entsprechend.
Exemplarisch ist hier das Skript und die Berechnung für den vierten Gang des Datensatzes 2 angegeben.
![]() |
|
|---|
Somit konnte eine Verbrauchsformel in Abhängigkeit der Geschwindigkeit für alle Gänge, und an dieser Stelle exemplarisch gezeigt für den vierten Gang aufgestellt werden:
= - +
GeoGebra
Diese ermittelten Kraftstoffverbrauchsgleichungen wurden anschließend mit Hilfe des Dynamische-Geometrie-Software Systems GeoGebra dargestellt.
Die entstehenden Kurven werden auch Verbrauchskurven genannt. Sie zeigen ausgehend vom Gang und der darin gefahrenen Geschwindigkeit den Kraftstoffverbrauch an. Solche Verbrauchskurven werden in den wenigsten Fällen von den Automobilherstellern zur Verfügung gestellt.
Nachfolgend sind exemplarisch einige Diagramme einzeln dargestellt, dann aber auch zwecks besseren Vergleichbarkeit auch in einem Koordinatensystem zusammen.
Um die Anschaulichkeit weiter zu verbessern, wurde der Definitionsbereich der Funktionen eingeschränkt, da zum einen negative Geschwindigkeiten realitätsfern und zum anderen manche Geschwindigkeiten in den einzelnen Gängen auch unrealistisch sind. So wurde der Definitionsbereich an die gefahrenen Geschwindigkeiten angepasst.
Die beiden letzten Bilder sollen nochmal zur Veranschaulichung der Methode der kleinesten Fehlerquadrate dienen. Dabei ist bei dem einem Bild der Abstand des Messpunktes zur letztendlich modellierten Kurve hervorgehoben. Im nachfolgenden Bild wurde anhand eines Datenpunktes ausgehend von dem Abstand dem jeweiligen Abstand ein Quadrat im Zuge der Methode der kleinsten Fehlerquadrate modelliert.
Auf eine weitere Ausführung wurde verzichtet. An der Stelle wird auf folgende zwei Geogebra-dateien verwiesen:
https://www.geogebra.org/m/HXWB4cMz
https://www.geogebra.org/m/uRXrq7yY
Touran
Darstellung der Parabeln mit dem Definitionsbereich der reellen Zahlen.
Da negative Geschwindigkeiten allerdings keinen Sinn ergeben, wurde der Definitionsbereich auf die positiven reellen Zahlen beschränkt bzw. an die Messbereiche angepasst.
Kritischer Blick auf unsere Daten
Wir haben versucht, mithilfe von quadratischen Funktionen den Kraftstoffverbrauch eines Autos hinreichend genau zu beschreiben. Dafür haben wir uns physikalische Zusammenhänge abgeschaut und daraus den quadratischen Ansatz = + + gebaut.
Bei einigen Datensätzen, beispielsweise dem vierten oder fünften Gang, könnte es sich wirklich um einen Parabelast handeln. Schaut man sich hingegen die Datensätze zu dem ersten Gang an, so wird man feststellen, dass sich die quadratische Funktion seltsam zu den Datenpunkten verhält.
Auf der einen Seite ist dazu zu sagen, dass es sich hierbei um ein Modell handelt. Modelle sind Vereinfachungen der Wirklichkeit. Das heißt, auch wir haben bei unserem Modell Vereinfachungen vorgenommen und nicht alle Aspekte berücksichtigt, die Einfluss auf den Kraftstoffverbrauch haben. Weitere Einflüsse sind zum Beispiel die Beschaffung der gefahrenen Strecke (Steigung und Belag) oder das Gewicht und die Art des Fahrzeuges. Die Unterscheidung zwischen einem Diesel und Benziner haben wir komplett außen vorgelassen. Somit haben wir zum einen Fehler durch die Vereinfachungen des Modells. Zum anderen haben wir auch Messfehler, die aber fast immer unvermeidbar sind.
Unsere Daten wurden insofern verfälscht, indem der Straßenverlauf nicht an jeder Stelle genau identisch war, da es sich um keine Teststrecke handelte. Selbstverständlich haben wir versucht, eine Strecke zu wählen, die weder großartig bergauf oder bergab geht, die möglichst gerade verläuft.
Auch die Windverhältnisse waren nicht zu jeder Datenaufnahme exakt die Identischen. Rückenwind oder Gegenwind haben hier keinen unbedeutenden Einfluss. Zusammenfasst haben wir also Messfehler aufgrund der äußeren Gegebenheiten nicht ausschließen können.
Des Weiteren entstanden Messfehler während des Ablesens der Verbrauchsanzeige und der aktuellen Geschwindigkeit. Auch mit Hilfe einer unterstützenden Person, die das Auto während es Ablesevorgangs versucht möglichst konstant zu fahren, ist es nicht möglich, alle passierenden Veränderungen gleichzeitig wahrzunehmen.
So sind wir zu dem Entschluss gekommen, dass die Verbrauchskurve zu Gang 1 keinen Sinn macht. Dies zeigt sich auch an den gewonnenen Werten (vgl. Tabelle). Auch die in der Literatur aufgezeigten Verbrauchskurven zeigen die Gang 1-Kurve weiter nach oben verschoben bzgl. der y-Achse. Diese Veränderung nehmen wir als Gegeben bei Modellierungszyklus 3.
Ergebnisse aus den Daten
Aus dem Diagramm mit den Verbrauchskurven aller Gänge lässt sich herauslesen, dass der Verbrauch in jedem Gang mit höherer Geschwindigkeit (drastisch) ansteigt.
Mit steigender Geschwindigkeit steigt die Drehzahl, wodurch Reibungsverluste im Motor und andererseits der Fahrwiderstand infolge des höheren Luftwiderstands zunimmt. Dadurch steigt der Spritverbrauch.
Ebenfalls lässt sich aus dem Diagramm herauslesen, dass die Wahl des Gangs einen deutlichen Einfluss auf den Spritverbrauch hat.
Ist es beispielsweise das Ziel, 60km/h zu fahren, so lässt sich an der senkrechten Linie erkennen, dass die Wahl zwischen dem zweiten, dritten, vierten und fünften Gang bleibt. Allerdings liegt man im zweiten Gang bei mehr als dem vierfachen Spritverbrauch im Vergleich zu dem fünften Gang.
Dieser enorme Unterschied erklärt sich dadurch, dass im 5. Gang die Motordrehzahl niedrig ist. Dadurch ist der Wirkungsgrad hoch, während die Reibverluste im Motor durch die niedrige Drehzahl klein sind. Im 2. Gang ist hingegen die Motordrehzahl hoch und die Reibleistung ist deutlich höher.
Dadurch bewegt man sich in einem sehr ungünstigen Bereich, was sich in einem hohen Kraftstoffverbrauch widerspiegelt.
Ein Ziel der Modellierung war es, die variablen Kosten im Hinblick auf den Bedarf an Brennstoff eines Autos zu optimieren und den Fahrer zu sensibilisieren im Zusammenhang zwischen Fahrverhalten und Kraftstoffverbrauch.
Wer auf eine ökonomische und sparsame Art und Weise fahren möchte, sollte folgende Punkte beherzigen:
(1) Möglichst mit konstanter Geschwindigkeit fahren
Durch vorausschauendes Fahren und durch Anpassung der eigenen Geschwindigkeit an die Verkehrsbedingungen lässt sich vermeiden, oft zwischen dem Gas- und Bremspedal wechseln zu müssen. Das Wechselspiel von Beschleunigen und Abbremsen verbraucht nur unnötig Kraftstoff,
(2) So früh wie möglich hochschalten
(3) Nicht unnötig schnell fahren
Studien zeigen, wenn ein Fahrer deutlich schneller fährt als die anderen Verkehrsteilnehmer, steigt der Kraftstoffverbrauch durch abbremsen und beschleunigen. Trotz hoher aber nur kurzzeitig und erreichter Hochgeschwindigkeit liegt dann die für die Fahrzeit relevante Durchschnittsgeschwindigkeit nur unwesentlich über dem Wert, den man durch Fahren mit weitgehend konstanter Geschwindigkeit erzielt.
(4) Unnötige Anbauteile abmontieren
Zusätzliche Anbauteile wie Dachgepäckträger, Dachboxen und Fahrradträger können den Luftwiderstand und die Stirnfläche eines Fahrzeugs erhöhen, was wiederum den Kraftstoffverbrauch beeinträchtigt. Das zusätzliche Gewicht durch solche Anbauteile oder unnötige Gegenstände im Fahrzeug kann ebenfalls den Rollwiderstand erhöhen und die Gesamteffizienz des Fahrzeugs beeinträchtigen.
Es ist daher ratsam, derartige Zusatzgewichte und Anbauteile nur dann zu verwenden, wenn sie tatsächlich benötigt werden, und sie nach Gebrauch unverzüglich zu entfernen. Das regelmäßige Entrümpeln des Fahrzeugs und das Vermeiden unnötiger Belastung können dazu beitragen, den Kraftstoffverbrauch zu optimieren und die Umweltauswirkungen zu minimieren. Es ist auch empfehlenswert, den Reifendruck regelmäßig zu überprüfen, da falscher Reifendruck ebenfalls den Rollwiderstand beeinflussen kann.
Diese Maßnahmen tragen nicht nur zur Kraftstoffeffizienz bei, sondern können auch die Fahrleistung und die Sicherheit des Fahrzeugs verbessern.
Geschwindigkeitsbegrenzung auf den Autobahnen
Ein Tempolimit auf Autobahnen wird in Deutschland immer wieder kontrovers diskutiert.
Aktuell gibt es auf der Autobahn keine Geschwindigkeitsbegrenzung für Pkws bis 3,5 Tonnen, es sei denn, diese wird durch Verkehrsschilder vorgegeben. Es gilt eine Richtgeschwindigkeit von 130 km/h. Umweltverbände und mehrere Parteien fordern seit Jahren die Einführung eines Tempolimits von 130 km/h auf deutschen Autobahnen.
Nachfolgend wird ausgehend von unseren Daten ein kurzes Statement zu der Debatte gegeben.
In erster Linie reduziert ein Tempolimit den Spritverbrauch, da je schneller ein Fahrzeug fährt, desto mehr Sprit benötigt es. Ein Grund ist der Luft- und Roll-Widerstand, der sich mit zunehmender Geschwindigkeit erhöht. Das heißt im Umkehrschluss:
Je eingreifender ein Tempolimit umgesetzt wird, desto weniger hoch sind Kraftstoffverbrauch und Umweltbelastung. Berechnungen haben ergeben, dass Tempo 130 auf Autobahnen 1,5 Millionen Tonnen an und damit 600 Millionen Liter Sprit einsparen würde. Während es sich beim -Ausstoß um etwa fünf Prozent der Gesamtmenge handelt, sinkt der Kraftstoffgesamtverbrauch von Autos durch diese Maßnahme nur um knapp 1,5 Prozent.
Ein sinkender Spritverbrauch bedeutet also auch weniger Treibhausgase und mehr Klimaschutz.
Natürlich gibt es noch weitere Gründe für ein Tempolimit. Genauso gibt es viele Gründe gegen ein Tempolimit. Diese Debatte soll hier aber nicht weiter thematisiert werden.
Modellierungszyklus III
Theoretische Überlegungen und mathematische Grundlagen
Vorgehen
In Zyklus 2 wurden fünf verschiedene quadratische Funktionen modelliert, die in Abhängigkeit von der gefahrenen Geschwindigkeit und dem jeweils gefahrenen Gang in km/h den Spritverbrauch in Liter/100km angeben.
Aus diesen fünf quadratischen Funktionen wurde nun eine Spritverbrauchsfunktion basierend auf den Ergebnissen von Zyklus 2 modelliert, die abhängig von der Geschwindigkeit ist und wieder den Spritverbrauch in Liter/100km anzeigt.
Diese Modellierung der -Funktion ergibt sich als Kombination der fünf verschiedenen Funktionen.
Touran
Der Ziel des Zyklus 3 besteht darin, diese -Funktion noch zusätzlich von der Zeit abhängig werden zu lassen, somit eine dynamische Fahrweise zu realisieren und eine entsprechende -Funktion anzugeben.
Hierbei wird nicht mehr von einer konstanten Geschwindigkeit ausgegangen, die ein Auto beispielsweise auf einer Autobahn fährt, sondern die Geschwindigkeit nun in Abhängigkeit zu einer gewissen Situation betrachtet. Dabei kann beispielsweise die Abhängigkeit des Fahrverhaltens bei hintereinanderfahrenden Autos näher beleuchtet werden.
Mit den Ergebnissen von Zyklus 2 und 3 kann dann der Spritverbrauch zu verschiedenen Fahrweisen näherungsweise angegeben werden.
Wie hoch ist der Spritverbrauch, wenn immer maximal beschleunigt wird, dann wieder abgebremst werden muss, weil ein Auto davor fährt und dann wieder beschleunigt wird? Und im Vergleich dazu, wie hoch der Kraftstoffverbrauch ist, wenn möglichst konstant mit wenigen und in der Intensität geringeren Beschleunigungs- oder Abbremsphasen gefahren wird ?
Dazu wird das Dynamische GNU Octave benutzt, da in diesem Zyklus Differentialgleichungen gelöst werden müssen.
Die Grundidee basiert auf einem Verkehrsmodell, welches auf den Ideen von Bando et al. 1994 [9] und Bando et al. 1995 [10] aufgebaut und in der Arbeit von Kastor 2023 [11] verwendet wurde. Es besteht darin, dass die Fahrer eine Wunschgeschwindigkeit besitzen, die diese gerne fahren würden. Allerdings ist diese Wunschgeschwindigkeit abhängig vom Abstand zu dem vorausfahrenden Fahrzeug.
Möchte ein Fahrer gerne 120km/h fahren, so kann er beschleunigen, wenn vor ihm „freie Fahrt“ ist. Ist stattdessen ein Auto vor ihm oder holt er aufgrund seiner Beschleunigung ein anderes Fahrzeug ein (in beiden Fällen reduziert sich der Abstand zum vorausfahrenden Auto), so muss er seine Geschwindigkeit anpassen und die Geschwindigkeit und Beschleunigung reduzieren.
mathematische Realisierung
Diese Überlegungen können in folgender mathematischer Gleichung umgesetzt werden.
= * (Δ) - )
Bezeichnungen
- entspricht der Beschleunigung in Abhängigkeit von der Zeit
- ist eine Funktion, die eine Wunschgeschwindigkeit beschreibt, die Fahrer besitzen und abhängig vom Abstand zum Auto ist, hinter dem sie fahren.
- Δ meint den Abstand zum vorausfahrenden Fahrzeug
- Der Ausdruck (Δ) bezeichnet die Abhängigkeit von der Wunschgeschwindigkeit von dem Abstand zum vorausfahrenden Fahrzeug
- bezeichnet die Geschwindigkeit des n-ten Fahrzeugs zur Zeit
- Der Ausdruck ((Δ) - ) bezeichnet die Differenz zwischen der Wunschgeschwindigkeit und der aktuellen Geschwindigkeit
- Die Proportionalitätskonstante gibt dabei an, wie stark ein Fahrer auf Unterschiede zwischen Wunschgeschwindigkeit und aktueller Geschwindigkeit reagiert.
nähere Beleuchtung des Ausdrucks = * (Δ) -
Der Ausdruck steht für die Beschleunigung in Abhängigkeit von der Zeit steht und entspricht der Ableitung der Geschwindigkeit, also .
Die Funktion der (Momentan)-Geschwindigkeit ergibt sich aus der Ableitung der Wegfunktion .
Die momentane Beschleunigung ist die Ableitung der momentanen Geschwindigkeit und damit ist sie auch die zweite Ableitung der Wegfunktion.
Somit ergibt sich:
= = = * Δ-
Dabei ist Δ = - .
Mit dieser Überlegung und den Zusammenhägen zwischen Weg-, Geschwindigkeit-, und Beschleunigungsfunktion ergibt sich
= = * - -
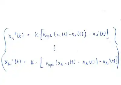
Konkret bedeutet das für die einzelnen Fahrzeuge
= * (( - -
= * - -
usw.
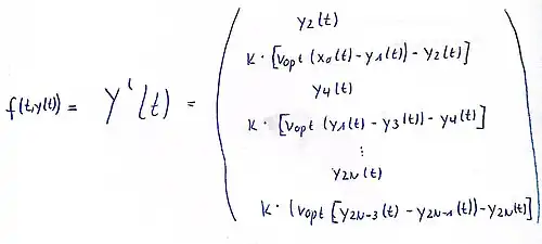
Allgemeiner formuliert
Das Gleichungssystem kann durch die Identifikation
und (
auch wie folgt dargestellt werden:
Es handelt sich hierbei um eine Differentialgleichung, da die Funktion selbst vorkommt sowie ihre Ableitung. Diese Umschreibung des Gleichungssystems hat dazu geführt, dass das System mithilfe Octave gelöst werden kann. Dieses wird im nachfolgenden implementiert.
Realisierung des Zyklus
Modellierung
Im Nachfolgenden soll die Funktion näher betrachtet werden.
Die Idee ist, dass eine monoton steigende Funktion ist. Das hat zur Folge, dass die Geschwindigkeit eines Autos abnimmt, je kleiner der Abstand zum vorausfahrenden Auto wird.
Die Definition der von dieser Funktion kann über den gesetzlich einzuhaltenden Mindestabstand erfolgen. Bei diesem Modell legen wir in Anbetracht des angedachten Tempolimits und aufgrund der Ergebnisse in Zyklus 2 als Wunschgeschwindigkeit 120km/h fest ().
Stehen zwei Autos still, haben diese einen Abstand von ca. 6m = ( ist hierbei die Summe aus der Fahrzeuglänge und dem Abstand von Stoßstange zu Stoßstange im Stillstand).
Mit dieser Annahme lässt sich für Δ definieren als = .
Im Fahrvorgang muss der Sicherheitsabstand min entsprechen, wobei hier nach StVO = außerorts gilt. Möchte ein Fahrer den Sicherheitsabstand vollkommen nutzen, so kann er für + Δ eine Geschwindigkeit von = fahren.
Ist seine Zielgeschwindigkeit bei Δ + erreicht, wird = gesetzt.
Damit ergibt sich
Die Funktion wurde nun mit GNU Octave modelliert.
Der Plottbefehl zu findet sich im Verkehrsmodell-Skript wieder.
Bild der geplotteten Funktion:
Modellierung
Als Annahme in diesem Modell wird noch getroffen, dass die Bewegung des vorgegeben ist, er also mit keinerlei vorausfahrenden Fahrzeugen zu rechnen hat. Die Bewegung des soll genauer betrachtet und modelliert werden.
Dabei ist die -Achse die Zeit in s und auf der -Achse die Strecke m in Abhängigkeit von der Zeit. Wir haben das als eine Stückweise lineare Funktion modelliert.
Die Steigungen der einzelnen Abschnitte des Graphen geben jeweils die Geschwindigkeit in m/s an.
Zu Beginn fährt das 20 Sekunden mit einer Geschwindigkeit von 15m/s, was ungefähr 54km/h entspricht. Dies könnte als Beschleunigung auf den Beschleunigungsstreifen verstanden werden. Danach fährt es 100 Sekunden mit 30m/s (ca. 108km/h) weiter. Dann fährt es für weitere 100 Sekunden mit 45m/s (160km/h) bevor es dann 20 Sekunden wieder etwas zurück bremst auf 108km/h. Die weiteren 60s fährt es dann mit 54km/h, bevor es 100 Sekunden mit nur 18km/h fährt. Dies könnte als langsames Rollen in einem stockenden Verkehr gedeutet werden. Danach kann es wieder 50 Sekunden mit 40km/h fahren und die weiteren 150s wieder mit 120km/h.
Modelliert wurde dies in Octave.
Der passende Auszug aus dem Verkehrsmodell-Skript:
Modellierung
Die Ergebnisse der Spritfunktion wie oben beschrieben wurden ebenfalls in Octave modelliert.
Implementierung des Verkehrsmodells in Octave
[12] ist ein Befehl, mit dem Differentialgleichungen gelöst werden können.
Zuerst wird das Problem durch eine Funktion beschrieben. Die Funktion muss zwei Argumente beinhalten. Zum einen der Vektor mit den momentanen Werten der betrachteten Größen und zum anderen ein Zeitintervall. In unserem Fall entspricht dies dem Abstand aller drei Autos zum und deren jeweiligen Geschwindigkeiten zum Start des Beobachtungszeitraums.
Also ist der Name der Funktion, die Anfangswerte sind und die gewünschten Zeiten für die Auswertung.
Der Rückgabewert deiner Funktion ist dann die Veränderung der Werte während diesem Schritt. Dabei ist eine x-Matrix, da der Zeitraum bzw. das Zeitintervall 3001 Daten enthält.
Ein Funktionshandle ist ein Zeiger auf eine andere Funktion und wird mit der folgenden Syntax @ definiert. Funktionshandles werden verwendet, um andere Funktionen indirekt aufzurufen oder um eine Funktion als Argument an eine andere Funktion zu übergeben. Um ein Handle für eine Funktion zu erstellen, wird dem Funktionsnamen ein @-Zeichen vorangestellt. Ein Funktionshandle ist ein Octave-Datentyp, der eine Zuordnung zu einer Funktion speichert.
Des Weiteren kann über die einzelnen Startgeschwindigkeiten der Autos und der Abstand der Autos in Metern zum festgelegt werden.
Dabei bezieht sich die erste Zahl auf den Startabstand von zu in Meter.
Die zweite Zahl gibt die Anfangsgeschwindigkeit des in m/s an.
Die dritte Zahl beziffert wieder den Startabstand von zu an.
Und die vierte Zahl gibt die Anfangsgeschwindigkeit von in m/s an.
Entsprechend dieses Musters setzt sich die Interpretationsreihe mit weiteren Autos fort.
Unter Verwendung dessen können dynamische Situationen auf der Autobahn simuliert werden. Eine entsprechende Simulation wurde exemplarisch durchgeführt und nachfolgend in Übereinstimmung mit den Zeilen 45 und 50 des Skripts die jeweiligen Diagramme geplottet. Ersteres gibt die einzelnen gefahrenen Strecken zu den Autos, letzteres die gefahrenen Geschwindigkeiten.
Octave-Befehl Strecken:
Mit ist die 1. Spalte von gemeint, wobei eine x-Matrix ist (s. oben). Sprichwörtlich: "Nehme von allen Zeilen die erste Spalte"
graphische Darstellung der Strecken:
Octave-Befehl Geschwindigkeiten:
graphische Darstellung der Geschwindigkeiten:
Der magentafarbene Graph steht für das dritte Auto. Der rote Graph für das zweite Auto. Der grüne Graph für das erste Auto. Der blaue Graph (nur in Lösung Strecken) steht für das nullte Auto.
Nachfolgend sollen die beiden Plots anhand des dritten Autos (magenta) versprachlicht werden:
Das befindet sich zum Start des Beobachtungszeitpunkts 7km hinter dem (vgl. Plot Strecken). Auch das befindet sich 3 Kilometer vor , sodass das umgangssprachlich gesagt "freie Fahrt" hat und anhand der - Funktion erstmal beschleunigen kann (vgl. Plot Geschwindigkeiten). fährt zu Beginn des Beobachtungszeitraums lediglich 5m/s (18km/h). Die Beschleunigung findet Ausdruck in dem Plot zu den Geschwindigkeiten. Aufgrund der nun ansteigenden Geschwindigkeit, des schnelleren Vorankommens und des Abbremsen des (nach ca. 270s wird die Geschwindigkeit drastisch verringert, sodass auch und abbremsen müssen) wird der Abstand zu immer kleiner, sodass die Geschwindigkeit von selbst reduziert werden muss, um keinen Unfall zu verursachen. In dem Plot der Geschwindigkeiten lässt sich dies in einem deutlichen Fall der Kurve erkennen. Danach kann im Rhythmus der vorausfahrenden Fahrzeuge wieder beschleunigt werden. Ab dem Zeitpunkt verläuft der Plot der Strecken auch nahezu identisch.
Auffallend sind die kleinen Spitzen und Tiefen im Plot der Geschwindigkeiten. Beispielsweise bremst das stärker ab, als es eigentlich müsste, und beschleunigt dann wieder etwas, um sich der Fahrweise der vorausfahrenden Fahrzeuges anzupassen.
Dies kann wie folgt erklärt werden:
bremst aufgrund der langsameren Fahrweise der vorausfahrenden Autos. Dieser Bremsvorgang dauert eine gewisse Zeitspanne, währenddessen sich das vorausfahrende Auto weiterbewegt bzw. fährt. Diese entstehende Lücke in dieser Zeitspanne wird durch die nachfolgende kurze Beschleunigung wieder geschlossen, sodass der Sicherheitsabstand wieder hergestellt ist.
Darstellung der Ergebnisse
Die Geschwindigkeitsvektoren der einzelnen Autos werden nun in die -Funktion eingesetzt, umso den Spritverbrauch in Abhängigkeit zu der Zeit und zu der Geschwindigkeit zu haben.
Die Graphen wurden anschließend in einem 3D-Plott geplottet:
Weiterführend wurden nochmal Plots erstellt, die den Spritverbrauch in Abhängigkeit von der Zeit zu den einzelnen Autos aufzeigen.
Um die Ergebnisse besser zu veranschaulichen, wurde das Werkzeug der Glättung bzw. des gleitenden Mittelwerts genutzt. Dies wurde angewandt auf die Spritfunktion der einzelnen Autos sowie bei der Geschwindigkeit.
Um die Ergebnisse besser verdeutlichen zu können, wurden nun zu den jeweiligen Autos Plots erstellt, die die geglättete Geschwindigkeits- und Spritfunktion in einem Diagramm darstellen.
Der auf den ersten Blick ungewohnte Verlauf der Graphen - wie in Sekunde 380 bei - dass der Spritverbrauch nach fällt und die Geschwindigkeit jedoch ansteigt, lässt sich mit den Ergebnissen aus Zyklus zwei und der darin modellierten -Funktion deuten. Ein höherer Gang weißt oft auch eine niedrigeren Spritverbrauch auf.
Unter anderem wurde hier mit dem Befehl trapz die Fläche näherungsweise unter der Spritfunktion bei allen drei Autos berechnet.
=
=
=
Dabei kennzeichnet die Zahl hinter dem die gemeinte Kurve bzw. das Auto.
Die Fläche unter den Spritfunktion kann als Art Vergleichswert der Fahrweisen der Autos betrachtet werden.
Ein größerer Wert bedeutet, dass die Fläche größer ist. Übertragen heißt das, dass mehr Spritverbraucht wurde bei der jeweiligen Fahrweise. Das heißt, hätte einen höheren Spritverbrauch als und ist generell am ökonomischsten unterwegs.
Jedoch muss auch berücksichtigt werden, dass zwar alle Autos 600s fahren (also der Beobachtungszeitraum beträgt 10min) und auch am Ende des Zeitraums (fast) an der gleichen Streckenstelle befinden (natürlich mit Autolänge und Sicherheitsabstand gerechnet), jedoch der Startpunkt und demnach auch die insgesamte Streckenlänge von Auto zu Auto unterschiedlich ist. Beispielsweise fährt die 15km wie , jedoch noch die 7km vorher, da ja 7km hinter startet.
Zuletzt wurde auch nochmal die 3D Funktion mit den geglätteten Funktionen dargestellt.
Gleitender Mittelwert [13]
Mit dem Werkzeug "gleitender Mittelwert" werden große Schwankungen in Entwicklungskurven geglättet.
Dafür werden über einen bestimmten Zeitraum kontinuierlich Mittelwerte von mehreren Datenpunkten berechnet. Der Name „gleitender Durchschnitt“ kommt daher, dass die Werte, die du betrachtest, um den gleitenden Mittelwert zu berechnen, ständig wechseln. Dabei kann die Anzahl der Datenpunkte, aus denen der gleitende Durchschnitt berechnet wird, auch variieren.
In unserem Fall wird das durch die Variable N festgelegt (N=100)
Das bedeutet also, das immer 100 Werte zusammengefasst werden für einen "Glättungspunkt". Somit kann erst ab dem 101Eintrag des Spritneuvektors geglättet werden, da davor noch keine 100 Einträge existieren. Das Gleiche gilt für die letzten 100 Einträge.
Jedoch wird in Octave eine Fehlermeldung angegeben, wenn nur diese Einträge berücksichtigt werden, denn dann stimmt die Länge des Spritneuvektors nicht mehr überein mit der Länge des time-Vektors, was beim Plotten zu Schwierigkeiten führt. Deswegen wird über zeros(size(time)) die Länge des Spritneuvektors vorgegeben und anschließend die Nullen durch die Glättungswerte ersetzt.
Über den Summenbefehl werden dann jeweils die 100 Dateneinträge vor und nach dem zu glättenden Datenpunkt aufsummiert und durch die Anzahl geteilt.
Der Spritneuvektor ist ein Vektor 1x3001.
Ergebnisse
Der Modellierung der -Funktion, also der Strecke des , kommt hier eine große Bedeutung zu.
Durch weitere Verfeinerung dieser Funktion können unterschiedliche Verkehrssituationen nachgespielt werden. Ebenfalls können über den Befehl "lsode" die Anfangsbedingungen festgelegt werden, das heißt, wo sich welches Auto befindet und mit welcher Geschwindigkeit es unterwegs ist.
Nachfolgend soll ein Vergleich über den Spritverbrauch bei konstanter und inkonstanter Fahrweise geführt werden.
Fährt ein Auto konstant 100km/h, verbraucht es nach Zyklus 2 im fünften Gang 4 Liter die Stunde. Das dritte Auto in Zyklus 3 fährt in den betrachteten 600s (also 10 Minuten), ca. 22km weit.
22km deshalb, da Auto0 in den 10 Minuten eine Strecke von 15km zurücklegt und Auto3 7km hinter Auto0 sich befindet zum Beobachtungszeitraum. Am Ende des Zeitraums befinden sich die Autos mehr oder weniger alle auf der gleichen Stelle, natürlich mit einem gewissen Sicherheitsabstand, sodass wir 21,5km annehmen.
Zur besseren Unterscheidung nennen wir das Auto, welches konstant fährt AutoK.
AutoK würde also mit 100km/h für die 21,5km ca. 13 Minuten brauchen. Dabei bräuchte er 0,86 Liter Sprit. Auto3 fährt diese 21,5 km in 10 Minten, also 3 Minuten schneller als AutoK. Jedoch hat er einen Durchschnittsverbrauch 7,8 Liter, also 1,67 Liter auf die 21,5km. Das sind beinahe das doppelte die AutoK, dafür, dass er nur 3 Minuten schneller am „Ziel“ sozusagen ist (13min-10min =3min). Das zeigt sich auch daran, dass die Durchschnittsgeschwindigkeit von Auto3 nur bei 130km/h liegt, obwohl er mehr als die Hälfte der Zeit mit einer sehr hohen Geschwindigkeit (180km/h) unterwegs ist.
Ein Vergleich, der vielleicht noch eindrücklicher ist, wie der mit konstant 100km/h, ist folgender: Würde er die 21,5km konstant mit der Durchschnittsgeschwindigkeit von 130km/h fahren, so wäre er natürlich auch nach 10 Minuten am „Ziel“. Das heißt vom Zeitfaktor her würde er keinen „Verlust“ machen.
Jedoch hätte er bei konstanter Fahrweise von 130km/h im fünften Gang nur einen Durchschnittsverbrauch von 5,7 Liter pro 100km und nicht 7,8 Liter pro 100km.
Das sind bei 21,5km also 1,23 Liter. Demnach würde er ca. 400ml Sprit sparen bei keinem Zeitverlust. Bei einem Benzinpreis von 1.70 Euro kosten 400ml etwas mehr wie 1 Euro. Und das nur bei einer Strecke von 21,5km. Pro km spart der Autofahrer sich somit ca. 4ct. Das mag auf den ersten Blick sich nach nicht viel anhören.
Ein Deutscher fährt im Schnitt pro Tag 37 km, das entspricht 1,5 Euro Ersparnis.
Die durchschnittliche Jahresfahrleistung lag 2020 bei 19000km. Das würde bei diesem Beispiel 760 Euro Ersparnis entsprechen. Daneben sind auch an die umweltbezogenen Vorteile zu denken.
Zusammenfassend lässt sich festhalten, dass eine kurzzeitige schnellere Geschwindigkeit nicht immer auch ein bedeutend schnelleres Ankommen zur Folge hat. Das Kosten-Nutzen Verhältnis ist (wie in dem Beispiel zu sehen), nicht immer ausgeglichen. Ein weiterer Fakt ist, dass große Geschwindigkeitsunterschiede zu häufigeren Staus führen. Würden alle Fahrzeuge im gleichen Tempo fahren, gäbe es viel weniger Stillstand auf unseren Straßen.
verwendete Software
Mithilfe der Tabellenkalkulation LibreOffice Calc wurden die für Zyklus 1 benötigten Daten gesammelt und strukturiert. Dabei wurden zum Beispiel folgende Funktion verwendet, um die getankten Liter eines Jahres aufzusummieren oder die gefahrenen Kilometer des Tankfahrtenbuches von 2009 bis 2023:
Außerdem können mit TKPs Diagramme erstellt werden. Dafür müssen die Daten, welche dargestellt werden sollen, angewählt werden und auf das Feld des Diagrammassistenten im der Werkzeugleiste geklickt werden. Wir haben sowohl in Zyklus 1 als auch in Zyklus 2 Punktwolken erstellt.
LibreOffice hat außerdem die Funktion, eine Regressionsgerade zu erstellen und den Faktor R sich ausgeben zu lassen.
Die Kraftstoffverbrauchsfunktionen wurden dann mit dem Programm GeoGebra dargestellt.
Außerdem wurden die Messwerte eingetragen als Punkte. Anschließend wurde versucht, dass Prinzip der Quadratischen Regression zu verdeutlichen.
Dazu wurde jeweils eine Senkrechte zu der -Achse durch einen Messpunkt gezeichnet. Das geht mit GeoGebra sehr einfach über die entsprechende Funktion.
Danach wurde mit der Funktion Schnittpunkt, bei dem man zwei Objekte auswählt, die Schnittpunkte zwischen den senkrechten Geraden und der Kraftstoffverbrauchsfunktionen bestimmt. Mit dem Befehl Strecke, bei dem man zwei Punkte auswählt (bei uns der gerade bestimmte Schnittpunkt und der dazugehörige Messwert), konnte man dann die Strecken , , usw. bestimmen.
Nun wurde zu jeder Strecke ein Quadrat erstellt, dass für den quadratischen Fehler (siehe Methode der kleinesten Fehlerquadrate) stehen soll.
Vorgehen für das Erstellen eines Quadrats:
Es wurden zwei senkrechte Geraden zur -Achse erstellt. Jeweils durch einen Endpunkt der Strecke Dann wurde jeweils um einen Endpunkt der Strecke ein Kreis mit dem Radius der Streckenlänge gezeichnet. Man zeichnet den Schnittpunkt des Kreises mit der zugehörigen Senkrechten ein. Es gibt zwei Schnittpunkte, man entscheidet sich aber jeweils für einen. Danach verbindet man die zwei neuen Punkte mit den Endpunkten der Strecke, sodass ein Quadrat entsteht.
Außerdem lässt sich in GeoGebra auch der Definitionsbereich der Funktion einstellen.
Octave wurde in Modellierungszyklus 2 und 3 genutzt. In Zyklus 2, um ein überbestimmtes Gleichungssystem zu lösen, was im weiteren Verlauf zu den einzelnen Kraftstoffverbrauchsformeln für die unterschiedlichen Gänge geführt haben.
Dafür wurde ein Skript erstellt, sodass nur noch die einzelnen Matrizen angepasst werden sollten. Zum Beispiel wurden die Matrizen transponiert mit dem Befehl ´ oder die Inverse bestimmt mit .
Dabei bedeutet ein Semikolon ein Umbruch in die neue Zeile und mit Komma werden die einzelnen Einträge in der Matrix abgetrennt. In Octave wird demnach dann ein Punkt genutzt, um eine Kommazahl zu schreiben.
Ein großer Vorteil von Octave gegenüber Maxima ist, dass man das Skript immer wieder auch „von oben“ ergänzen kann.
In Zyklus 2 wurde Octave genutzt, um zuerst zwei abschnittsweise definierte Funktionen zu plotten. Außerdem wurden Differentialgleichungen gelöst.
Literatur
- ↑ Europäisches Parlament (EP). 2024. CO₂-Emissionen von Pkw: Zahlen und Fakten (Infografik). https://www.europarl.europa.eu/topics/de/article/20190313STO31218/co2-emissionen-von-pkw-zahlen-und-fakten-infografik"(Stand: 21.02.2024).
- ↑ Frankfurter Allgemeine Zeitung (FAZ). 2023. UNTERWEGS MIT BUS UND BAHN. So denken die Deutschen über den Öffentlichen Nahverkehr. https://www.faz.net/aktuell/wirtschaft/das-auto-ist-fuer-viele-deutsche-laut-umfrage-weiter-unverzichtbar-18675939.html"(Stand: 21.02.2024).
- ↑ Bundesregierung (BReg). 2023. Gemeinsam den Wandel gestalten. Die 17 globalen Nachhaltigkeitsziele. https://www.bundesregierung.de/breg-de/themen/nachhaltigkeitspolitik/die-17-globalen-nachhaltigkeitsziele-1553514. (Stand: 08.12.2023).
- ↑ a b Engel, Joachim. 2018. Anwendungsorientierte Mathematik: Von Daten zur Funktion. Eine Einführung in die mathematische Modellbildung für Lehramtsstudierende. 2., vollständig überarbeitete Auflage. S.214-221. Ludwigsburg: Springer Verlag Spektrum. https://link.springer.com/book/10.1007/978-3-662-55487-6. (Stand: 21.02.2024).
- ↑ Engel, Joachim. 2018. Anwendungsorientierte Mathematik: Von Daten zur Funktion. Eine Einführung in die mathematische Modellbildung für Lehramtsstudierende. 2., vollständig überarbeitete Auflage. S.27-35. Ludwigsburg: Springer Verlag Spektrum. https://link.springer.com/book/10.1007/978-3-662-55487-6. (Stand: 21.02.2024).
- ↑ Reif, K. 2011. Bosch Grundlagen Fahrzeug- und Motorentechnik. Konventioneller Antrieb, Hybridantriebe, Bremsen, Elektronik. Bosch Fachinformation Automobil. 1. Auflage. Wiesbaden: Springer Verlag. https://link.springer.com/book/10.1007/978-3-8348-8320-9. (Stand: 21.02.2024).
- ↑ LEIFiPhystik. Reibung und Fortbewegung. Joachim Herz Stiftung. https://www.leifiphysik.de/mechanik/reibung-und-fortbewegung (Stand: 21.02.2024).
- ↑ LEIFiPhystik. Reibung und Fortbewegung. Joachim Herz Stiftung. https://www.leifiphysik.de/mechanik/reibung-und-fortbewegung/ausblick/antriebs-und-fahrwiderstandskraefte-beim-auto (Stand: 21.02.2024).
- ↑ Bando, M., Hasebe, K., Nakayama, A., Shibata, A. & Sugiyama, Y. 1994. Structure Stability of Congestion in Traffic Dynamics. Japan Journal of Industrial and Applied Mathematics. 11. S. 203-223. https://link.springer.com/article/10.1007/BF03167222/ (Stand: 21.02.2024).
- ↑ Bando, M., Hasebe, K., Nakayama, A., Shibata, A. & Sugiyama, Y. 1995. Dynamical model of traffic congestion and numerical simulation. Physical Review E. Vol. 51 No.2. S. 1035-1042. https://journals.aps.org/pre/pdf/10.1103/PhysRevE.51.1035 (Stand: 21.02.2024).
- ↑ Kastor, Michael Urs Lars. 2023. Masterarbeit im Fach Mathematik. Mathematische Modellbildung für ein Verkehrsflussmanagement. S. 20-36.
- ↑ Octave Forge. 2024. Function Reference: lsode. https://octave.sourceforge.io/octave/function/lsode.html (Stand: 21.02.2024).
- ↑ Engel, Joachim. 2018. Anwendungsorientierte Mathematik: Von Daten zur Funktion. Eine Einführung in die mathematische Modellbildung für Lehramtsstudierende. 2., vollständig überarbeitete Auflage. S.287-296. Ludwigsburg: Springer Verlag Spektrum. https://link.springer.com/book/10.1007/978-3-662-55487-6. (Stand: 21.02.2024).
















