Kurs:Mathematische Modellbildung/Themen/2024-25 Wintersemester/Thema 5
Modellierungsthema 5: (Der perfekte Absprung)
Seite befindet sich im Aufbau
Teilnehmer
1. Anna-Lena Dick
2. Nicole Pander
Hinführung und Motivation für das Thema
Das Springreiten erfordert eine präzise Koordination zwischen Reiter und Pferd, insbesondere beim Absprung vor einem Hindernis. Beobachtungen zeigen, dass die Flugbahn des Pferdes einer parabolischen Kurve ähnelt, was darauf hindeutet, dass sich der Absprung mathematisch modellieren und vorhersagen lässt. Eine exakte Beschreibung dieser Kurve kann helfen, das Springverhalten besser zu verstehen und Optimierungsmöglichkeiten für Training und Technik abzuleiten.
Um die Sprungbahn realitätsnah zu modellieren, werden Messdaten aus Videoanalysen verwendet. Diese Daten ermöglichen es, physikalische und biomechanische, sowohl mechanische als auch kinetische Einflussfaktoren wie Geschwindigkeit, Absprungwinkel und Schwerkrafteinwirkung systematisch zu untersuchen. Durch die mathematische Modellierung der Bewegung des Pferdes können präzise Vorhersagen über dessen Verhalten getroffen und optimale Trainingsmethoden entwickelt werden [2, 4].
Dieses Thema bietet somit eine spannende Grundlage für die mathematische Modellbildung, da es reale Daten mit theoretischen Modellen verbindet und eine Brücke zwischen Sportwissenschaft und Mathematik schlägt.
Definition/Richtlinien der Deutschen Reiterlichen Vereinigung und gemessene Daten
Das Springreiten ist eine Disziplin des Reitsports. Grundsätzlich geht es darum, dass das jeweilige Reiter-Pferd-Paar einen Parcours möglichst schnell und fehlerfrei bewältigt. Die besondere Herausforderung für den Reiter besteht darin, das Pferd so an das Hindernis heranzureiten, dass es beim Absprung eine möglichst optimale Flugkurve entwickeln kann. Ziel ist das fehlerfreie und möglichst effektive Überwinden des Sprungs. Der Bereich des optimalen Absprungs befindet sich laut der Deutschen Reiterlichen Vereinigung (kurz FN) so weit vor dem Sprung, wie dieser hoch ist. So liegt der ideale Absprungpunkt bei einem 1,40 m hohen Steilsprung 1,40 m vor dem Hindernis auf dem Boden [1, 3] . Allerdings muss hierbei bedacht werden, dass das Pferd etwas höher springen muss, um das Hindernis fehlerfrei zu überwinden. Im Folgenden gehen wir von einem Wert von 5 cm aus. Dementsprechend verschiebt sich auch der Absprungpunkt um 5 cm. Vor und hinter diesem Punkt findet sich ein Bereich, in dem ein Überwinden des Hindernisses immer noch möglich ist, wenn auch mit einem höheren Aufwand. Desweiteren geht die Deutsche Reiterliche Vereinigung von einer parabelförmigen Sprungkurve aus. Dies wird jedoch nicht näher ausgeführt. Um uns die Ausführungen der FN besser vorstellen zu können, übertragen wir die Vorgaben in ein zweidimensionales Koordinatensystem (siehe Abbildung). Die x-Achse beschreibt die Entfernungen am Boden in Meter in Abhängigkeit von der Zeit, während die y-Achse die Höhe in Meter angibt. Um den Rechenaufwand möglichst gering zu halten, setzen wir den Fußpunkt . Die oberste Stange endet im Punkt . Der Hochpunkt der Flugkurve liegt im Punkt . Den Richtlinien entsprechend liegt der Absprungpunkt bei und der Landepunkt bei .

Da die Absprungkurve "parabelförmig" sein soll, kann eine Funktionsgleichung mithilfe der Scheitelpunktform bestimmt werden. Mithilfe der vorgegebenen Punkte, durch einsetzen und durch ausmultiplizieren ergibt sich die Gleichung . Der Graph dieser Funktion dient uns als Grundlage für unsere Modellierungszyklen (siehe Abbildung 1).
Grundlage der Modellierung: Messwerte
Zur Erhebung der Messdaten wurden sechs Videos aus derselben Position aufgenommen, jeweils mit einer Dauer von etwa 3 Sekunden. Als Referenzpunkt dienten die Hufe des Pferdes. In regelmäßigen Abständen von 0,1 Sekunden wurden Screenshots aus den Videos extrahiert. Anschließend wurden der Absprungpunkt, der Landepunkt sowie die Positionen des Pferdes während des Sprungs mithilfe von Messtools wie IrfanView bestimmt und zur weiteren Analyse in einer Excel-Tabelle erfasst. Die Messdaten stammen somit aus eigenen Aufnahmen und wurden in einer Tabelle festgehalten, welche die gemessenen horizontalen Positionen und die zugehörigen vertikalen Positionen enthalten. Diese gemessenen Daten dienen uns als reale Grundlage für die Modellierung und erlauben es, die Genauigkeit und Aussagekraft der theoretischen Berechnungen zu bewerten.
Um ein präziseres Verständnis der typischen Sprungbahn zu erlangen, berechneten wir die Mittelwerte der gemessenen Positionen zu verschiedenen Zeitpunkten. Die Tabelle 1 und die Abbildung 2 zeigen die festgehaltenen in Excel und werden am Ende des zweiten Modellierungszyklus erneut aufgegriffen.


.
Ziel der Modellierung
Das Ziel dieser Modellierung ist es, eine möglichst genaue mathematische Beschreibung der Absprungkurve eines Pferdes auf Basis realer Messdaten zu entwickeln. Dazu sollen geeignete Modellierungsansätze untersucht werden, die die Bewegung als Funktion relevanter Parameter wie Absprunggeschwindigkeit, -winkel und äußere Einflüsse (z. B. Luftwiderstand) beschreiben.
Konkret bedeutet das: Modellierung einer parabelförmigen Absprungkurve auf Grundlage von zyklusspezifischen Parametern und Konstanten. Berechnung der Positionen des Pferdes während des Sprungs mithilfe der Funktionsgleichung.
Durch die Analyse der erfassten Daten und den Vergleich mit theoretischen Modellen soll überprüft werden, welche Modellierungsansätze am besten geeignet sind. Dies kann helfen, präzisere Vorhersagen zur Flugbahn zu treffen und mögliche Abweichungen zwischen Theorie und Praxis zu erklären. Langfristig können solche Modelle genutzt werden, um das Training zu optimieren und die Sicherheit für Pferd und Reiter zu erhöhen.
Einige zentrale Punkte aus der Einleitung sollen in der Modellierung besonders berücksichtigt werden. Da das fehlerfreie Überwinden des Hindernisses im Fokus steht, ist das Erreichen des Hochpunktes von entscheidender Bedeutung. Der Landepunkt hingegen spielt in diesem Zusammenhang eine untergeordnete Rolle, da nur ein einzelner Sprung analysiert wird. Zudem sollte die Flugkurve nicht unnötig ausladend sein, um eine effiziente Sprungausführung zu gewährleisten. Eine möglichst realitätsnahe Modellierung dieser Aspekte ist essenziell, um praxisrelevante Erkenntnisse zu gewinnen [5, 6, 8].
Zuordnung der UN-Nachhaltigkeitsziele
- SDG 3: Good Health and Well-being
Durch den Fokus auf das Wohlbefinden des Pferdes wird die Gesundheit und Lebensqualität des Tieres sichergestellt. Ebenso fördert die Analyse der Flugkurve die Sicherheit beim Springen und reduziert das Risiko von Verletzungen bei den Pferden und ihren Reitern. Des Weiteren können Menschen durch den Reitsport ihre Lebensqualität durch die sportliche Betätigung steigern.
- SDG 4: Quality Education
Das Thema verbindet praktische Anwendung mit theoretischem Wissen und leistet so einen Beitrag zur hochwertigen Bildung im Bereich Reitsport und Pferdetraining.
- SDG 15: Life on Land
Der Reitsport steht in enger Verbindung mit landwirtschaftlichen und naturnahen Strukturen. Forschung und Training in diesem Bereich können das Wohl der Tiere verbessern und gleichzeitig einen nachhaltigen Umgang mit natürlichen Ressourcen fördern.
- SDG 17: Partnerships for the Goals
Die Forschung zur Flugkurve bietet eine Grundlage für Kooperationen zwischen Sportwissenschaft, Mathematik, Tiermedizin und Umweltwissenschaften und unterstützt so die globale Zusammenarbeit.
Verwendete Software
- GeoGebra
- Excel
- Octave
Niveauzuordnungen
Modellierungszyklus I / Schulniveau
Im ersten Zyklus der Modellbildung wird der Sprung eines Pferdes auf die Flugbahn über das Hindernis begrenzt. Das Ziel des ersten Zyklus ist es, aus physikalischer Sicht zu zeigen, dass der Sprung eines Pferdes parabelförmig ist. So kann die Höhe und Weite des Sprungs bestimmt werden, um zu prüfen, ob das Hindernis sicher überwunden werden kann. Zur verständlichen Anschauung kann dies mit Hilfe von GeoGebra modelliert werden.
Modellierungszyklus II / Uni-Niveau
- Der zweite Modellierungszyklus stellt eine Erweiterung des ersten Zykluses dar. Hier soll durch die Ergänzung des Luftwiderstand eine realitätsnähere Modellierung der Flugkurve nach dem Absprung erreicht werden.
- Regressionskurve aus Messdaten
- Lineare Interpolation
- Vergleich der verschiedenen Sprungbahnen
Modellierungszyklus I bzw. SEK II
Im ersten Zyklus der Modellierung betrachten wir den Sprung eines Pferdes über ein Hindernis aus physikalischer Sicht. Ziel ist es, mithilfe graphischer Anschauung zu bestätigen, dass Sprünge über ein Hindernis im Reitsport parabelförmig sind. Der Hochpunkt sollte im Optimalfall knapp über dem Hindernis liegen [4, 5, 6] .
Die Grundlage der Bewegung liefert das 2. Newtonsche Gesetz: , wobei
• = Kraft
• = Masse
• = Beschleunigung, beschreibt.
Diese Formel können wir auch umschreiben als . Hier beschreibt die zeitliche Ableitung der Geschwindigkeit, also die Beschleunigung. Die Geschwindigkeit selbst ist die Ableitung der Position nach der Zeit und berechnet sich mit der Formel , wobei die zurückgelegte Strecke und die vergangene Zeit beschreibt. Auf die Sprungbewegung wirken zwei wesentliche Kräfte, die horizontale Bewegung und die vertikale Bewegung. Es ist zu beachten, dass in diesem Modellierungszyklus der Luftwiderstand vernachlässigt wird. Die Bewegungskomponenten in horizontaler und vertikaler Richtung überlagern sich, daraus resultiert die schräge Absprungbewegung (Superpositionsprinzip).
Wir setzen voraus, dass es sich in der horizontalen Richtung (x-Richtung), um eine gleichmäßige Bewegung handelt. Das bedeutet, dass die Geschwindigkeit konstant bleibt und nicht von der Erdbeschleunigung beeinflusst wird. Den Vektor der Geschwindigkeit in x-Richtung bezeichnen wir mit . In vertikaler Richtung (y-Richtung) handelt es sich um den Absprung in die Höhe, wobei die Absprunggeschwindigkeit gleich der Startabsprunggeschwindigkeit entspricht. Den dazugehörigen Vektor bezeichnen wir mit . Diese vertikale Bewegung ist gleichmäßig beschleunigt. Als negative Beschleunigung ist ihr die Gravitationskraft entgegengesetzt. Diese beträgt .
Herleitung der relevanten Formeln
Das Modell des "schrägen Wurfs" aus der Physik dient uns als Grundlage für den ersten Modellierungszyklus. Wie oben beschrieben lässt sich die schiefe Absprungbewegung als Vektor in unserem Koordinatensystem darstellen.
Wir beginnen unsere Modellierung im Absprungpunkt. Hier wirkt die Anfangsgeschwindigkeit . Nach dem oben erläuterten Superpositionsprinzip teilt sich der Vektor
in die x-Komponente und die y-Komponente auf. Sowohl die gleichförmige Bewegung in horizontaler Richtung als auch die gleichmäßig beschleunigte vertikale Bewegung lassen sich analog zum waagerechten Wurf modellieren. Es ergibt sich ein rechtwinkliges Absprungdreieck mit dem Absprungwinkel bei (0|0). Dementsprechend dürfen Sinus, Cosinus und Tangens angewendet werden.
Es gilt:
(1)
(2) =
Diese Formeln lassen sich auch auf alle anderen Positionen auf der Sprungkurve übertragen:
Geschwindigkeit in x-Richtung:
(3)
Geschwindigkeit in y-Richtung:
(4)
(5)
Darauf aufbauend, unter Zuhilfenahme des 2. Newton'schen Gesetzes, lassen sich Gleichungen für die Sprungweite und die Sprunghöhe ableiten:
Zeit-Ort-Gesetz in x-Richtung:
(6)
Zeit-Geschwindigkeit-Gesetz in x-Richtung:
(6.1)
Zeit-Ort-Gesetz in y-Richtung:
(7)
Zeit-Geschwindigkeit-Gesetz in y-Richtung:
(7.1)
Stellt man Formel (7) nach um, so erhält man eine Gleichung für die "Steigzeit" . In unserem Fall meint Steigzeit die bis zum Erreichen des höchsten Punktes über dem Sprung benötigte Zeit:
(8)
Analog berechnet sich die "Wurzeit" , sprich die für den Sprungablauf benötigte Zeit, wie folgt:
(9)
Zu guter Letzt kann man die Positionen des Pferdes während des Sprungs mithilfe der Teilgeschwindigkeiten in Abhängigkeit von der Zeit ausdrücken. Wie oben bereits beschrieben, erhält man die Teilgeschwindigkeiten, indem man die jeweilige Koordinate nach der Zeit ableitet. Erneutes differenzieren bringt die Beschleunigung hervor. Folglich erhält man die Ortskoordinaten, indem man die Geschwindigkeiten integriert:
(10)
(11)
Rechnung
Als Beispiel dient uns ein Steilsprung mit der Höhe 1,40 m und ein Pferd mit der Masse 650 kg. Ein Steilsprung ist ein Hochsprung ohne Weite. Da das Pferd das Hindernis fehlerfrei überwinden soll, gehen wir davon aus, dass es 1,45 m hoch springen muss. Das bedeutet, dass der Hochpunkt der Sprungkurve 5 cm über der Stange liegt. Dementsprechend liegt der Absprungpunkt 1,45 m vor dem Hindernis.
Laut FN ist ein Tempo von
im Parcours vorgeschrieben. Wir gehen hierbei von einer mittleren Anforderung auf einem Außenplatz aus. Umgerechnet ergibt sich die Anfangsgeschwindigkeit . Um den Rechenaufwand geringer zu halten rechnen wir mit dem Wert .
Der Absprungwinkel wurde aus Videoaufnahmen bestimmt und ein Mittelwert berechnet. Demnach gilt: .
Der Wert für lässt sich der Literatur entnehmen.
Zunächst berechnen wir mit Hilfe der Formeln (3) und (4) die horizontalen und vertikalen Anteile. In unserem Fall erhalt wir folgende Werte:
Nun berechnen wir die Steigzeit . Die Steigzeit bei einem Absprung eines Pferdes über ein Hindernis bezeichnet die Zeitspanne, die das Pferd benötigt, um vom Absprungpunkt bis zum höchsten Punkt der Flugbahn (Scheitelpunkt) zu gelangen. An diesem Punkt ist die y-Koordinate maximal, da sie am Scheitelpunkt ihren höchsten Wert erreicht. Die y-Koordinate der Geschwindigkeit ist 0, , da am Scheitelpunkt das Pferd keine vertikale Geschwindigkeit mehr hat. Es bewegt sich für einen kurzen Moment nur horizontal, bevor es wieder zu sinken beginnt. So lässt sich die Steigzeit nach Umformung nach wie folgt notieren:
Mit Hilfe von (6) und (7) erhält man Koordinaten für den Scheitelpunkt:
Als nächstes berechnen wir die Wurfzeit . Darunter versteht man die Zeitspanne, die das Pferd nach Absprung benötigt, bis zur Landung. Daher folgt . Zur Berechnung benötigen wir die Gleichung (11), welche wir nach umstellen, so erhalten wir folgendes:
Zuletzt berechnen wir die Sprungweite des Pferdes. Durch Umstellen der Gleichung (6) ergibt sich:
Letztlich wird die Gleichung (10) nach umgestellt. In die Gleichung (11) wird für der neu entstandene Ausdruck aus (10) eingesetzt. So ergibt sich eine Gleichung, mit welcher sich zu jeder x-Koordinate die dazugehörige y-Koordinate berechnen lässt.
Die nebenstehende Abbildung 3 veranschaulicht die errechneten Werte in einem zweidimensionalen Koordinatensystem.

Fazit / Ergebnis
Betrachtet man den Graphen der Sprungkurve, so ist zu erkennen, dass der Hochpunkt H und der Landepunkt F nicht genau mit den Vorgaben der FN übereinstimmen. Allerdings fehlen bei diesen Vorgaben, wie bereits in der Einleitung erwähnt, weitere Details. Es ist also durchaus möglich, dass die angegebenen Punkte nur approximativ bestimmt wurden. Der Landepunkt spielt außerdem für die Effektivität des Sprunges und das fehlerfreie Überwinden des Hindernisses eine eher untergeordnete Rolle. Insgesamt lässt sich folgern: Aufgrund der Anschaulichkeit, eignet sich dieses Modell im Schulalltag sehr gut, um in den Themenkomplex quadratische Funktionen und Gleichungen einzusteigen. Die Masse des Pferdes und damit auch der Luftwiderstand wurden in diesem Zyklus nicht berücksichtigt. Dies gilt es im nächsten Schritt miteinzubeziehen.
Modellierungszyklus II bzw. Uni-Niveau
Im ersten Zyklus haben wir das Modell des schrägen Wurfs aus der Physik angewandt, um die Absprungkurve eines Pferdes zu mathematisiereren. Allerdings haben wir den Luftwiderstand außer Acht gelassen. Dieser wirkt entgegengesetzt zum Geschwindigkeitsvektor . Der zweite Modellierungzyklus soll eine Weiterentwicklung des ersten Zykluses darstellen, mit dem Ziel eine realistischere Flugkurve des Pferdes zu erhalten. Um dies zu erreichen, beziehen wir den Luftwiderstand in unsere Überlegungen mit ein. Dementsprechend kommt nun das Modell des schrägen Wurfs mit Luftwiderstand zur Anwendung (ballistische Kurve) [5, 6].
Die Grundlage für die nachfolgenden Überlegungen liefert die Newton'sche Bewegungsgleichung, das 2. Newton'sche Gesetz, (1) , wobei die Kraft bezeichnet, die Masse und die Beschleunigung.
Es ist wichtig zu bedenken, dass alle Geschwindigkeiten von der Zeit abhängen! Der Zusatz in der Notation "" wird im Nachfolgenden weggelassen. Wir schreiben beispielsweise als . Analog gilt dies für alle anderen Geschwindigkeiten und deren Ableitungen.
Die auf einen Gegenstand wirkende Kräfte lassen sich aufteilen in die aus der Erdanziehung resultierende Gravitationskraft , dem Luftwiderstand und der "in Bewegungsrichtung wirkende Kraft" .
(2)
Die Luftwiderstandskraft wirkt entgegengesetzt zu der "in Bewegungsrichtung wirkenden Kraft" . Aus dem ersten Modellierungszyklus wissen wir, das wir den schrägen Wurf mithilfe einer Horizontalbewegung längs der x-Achse und einer davon unabhängigen Vertikalbewegung entlang der y-Achse beschreiben können. Die entsprechenden Formeln gelten weiterhin. Entsprechend ergeben sich folgende Gleichungen:
(3) bzw.
(4) bzw.
In x-Richtung wirkt dementsprechend nur die Luftwiderstandskraft, während in y-Richtung die Gravitationskraft berücksichtigt werden muss. Aus (3) und (4) können durch Umstellen zusätzlich die Beschleunigungskomponenten berechnet werden.
Die Indizes 1 und 2 beschreiben jeweils die x- bzw. y-Komponente. Aus Zyklus 1 wissen wir, dass gilt:
(5)
(6)
(7)
Da die Beschleunigung gleich bleibt, kann aus (2)-(6) gefolgert werden:
umso größer die Masse, desto kleiner sind die Auswirkung des Luftwiderstandes
umso höher die Beschleunigung , desto kleiner ist die Auswirkung des Luftwiderstands
Der Luftwiderstand lässt sich folgendermaßen berechnen:
(8)
Hierbei ist die Luftdichte, die Angriffsfläche des Windes und der Koeffizient des Luftwiderstandes. Der Koeffizient sagt etwas darüber aus, wie sich ein Körper
durch ein Medium bewegt und ist für jeden Körper anders. Der Luftwiderstand hängt vom Quadrat der Gesamtgeschwindigkeit ab.
Wir definieren die Konstante und erhalten durch einsetzen:
(9)
Setzt man die Konstante in (3) und (4) ein und berücksichtigt Gleichung (7), so ergibt sich:
(10)
(11)
Wir betrachten nun einen Zeitschritt von zu . Dieser wird codiert mit . Für die x-Komponente der Geschwindigkeit gilt dann:
(12)
Durch einsetzen in (11) und mithilfe von (7) berechnet sich die y-Komponente der Geschwindigkeit wie folgt:
(13)
"Zu der Geschwindigkeit im Zeitpunkt wird die Geschwindigkeitsänderung addiert"
Durch (12) und (13) ist die horizontale und die vertikale Geschwindigkeit nach einem beliebigen Zeitschritt gegeben. Unter Berücksichtigung von (7) folgt für die Gesamtgeschwindigkeit:
(14)
Da uns, analog zu Zyklus 1, die Positionen des Pferdes während des Sprungablaufs interessieren, müssen wir nun aus den Formeln (1) bis (14) die zurückgelegten Strecken in x- und y-Richtung für jedes Zeitintervall berechnen. Wir wissen aus Zyklus 1, dass die Geschwindigkeit die Ableitung der Position nach der Zeit ist und mit der Formel berechnet wird, wobei die Geschwindigkeit, die zurückgelegte Strecke und die die Zeit beschreibt. Durch Umstellen ergibt sich:
(15)
Nach einem Zeitschritt von zu ergeben sich folgende Gleichungen für die zurückgelegten Strecken:
(16) "zurückgelegte Strecke in x-Richtung"
(17) "zurückgelegte Strecke in y-Richtung"
Rechnung
Um einen aussagekräftigen Vergleich zwischen den beiden Modellierungszyklen zu ermöglichen, behalten wir die Masse des Pferdes konstant bei 650 kg. Im Rahmen der zweiten Modellierung, in der wir den Luftwiderstand berücksichtigen, wird die Bedeutung der spezifischen Örtlichkeit besonders relevant. In unserem Beispiel nehmen wir den Außenbereich eines Reitplatzes als Ausgangspunkt. In dieser sind es 15°C und mit mittlerer Luftfeuchtigkeit. So ergeben sich für die Formel des Luftwiderstandes (3) folgende Werte:
- Luftdichte
- Koeffizient des Luftwiderstands
- Angriffsfläche (Körperansicht von vorne während des Sprungs)
- Geschwindigkeit (bzw. )
Basierend auf den berechneten Werten lässt sich die Bewegung des Pferdes beim Absprung detailliert analysieren. Ausgangspunkt ist die gegebene Absprunggeschwindigkeit von 6 m/s sowie der Absprungwinkel von 62,74° (entspricht 1,095 rad). Unter Berücksichtigung eines Zeitintervalls von Δt = 0,025 s wurde die kinematische Bewegung sowohl mit als auch ohne Luftwiderstand berechnet.
Berechnung der Geschwindigkeit
Die Geschwindigkeit setzt sich aus den Komponenten in horizontaler Richtung und vertikaler Richtung zusammen. Ohne Luftwiderstand gilt:
Durch numerische Integration wurden die Geschwindigkeiten für weitere Zeitschritte bestimmt. Mit Luftwiderstand ergibt sich eine geringere vertikale Geschwindigkeit aufgrund der entgegenwirkenden Kraft.
Flugbahn des Pferdes
Die Positionen und beschreiben die Bewegung des Pferdes über der Zeit. Ohne Luftwiderstand gilt:
Mit Luftwiderstand wurden diese Werte iterativ bestimmt. Die Ergebnisse zeigen, dass die maximale Sprunghöhe geringer ausfällt, wenn der Luftwiderstand berücksichtigt wird.
Einfluss des Luftwiderstands
Durch den Luftwiderstand reduziert sich die Gesamtgeschwindigkeit über die Zeit, was sich in einer flacheren Flugbahn äußert. Die numerischen Berechnungen zeigen: Die horizontale Distanz ist mit Luftwiderstand leicht verkürzt. Die maximale Höhe wird früher erreicht. Diese Erkenntnisse sind entscheidend für die Optimierung des perfekten Absprungs. Weitere Anpassungen, etwa an der Absprunggeschwindigkeit oder dem Winkel, könnten eine verbesserte Sprungleistung ermöglichen. Die berechneten Werte sind in der nebenstehenden Tabelle und in den Graphen zu sehen.




Lineare Interpolation
Damit wir in unserem Ergebnis/Fazit die ideale Kurve der FN, die Absprungkurven mit und ohne Luftwiderstand mit unseren Messwerten vergleichen können, müssen die x-Werte zueinanderpassen. Deswegen muss bei den Werten mit und ohne Luftwiderstand interpoliert werden. Die Tabelle mit den interpolierten Werten findet sich in der nebenstehenden Tabelle.
Interpolation der Werte für den Vergleich der Flugbahnen
Um die berechneten Absprungkurven mit und ohne Luftwiderstand sinnvoll mit der "idealen" Kurve der FN sowie den Messwerten zu vergleichen, müssen die x-Werte einheitlich sein. Da die numerisch bestimmten x-Werte für die Bewegung mit und ohne Luftwiderstand nicht exakt auf denselben Punkten liegen, ist eine lineare Interpolation erforderlich.
Lineare Interpolation
Die lineare Interpolation ist eine Methode zur Abschätzung eines unbekannten Wertes zwischen zwei bekannten Punkten. Sie basiert auf der Annahme, dass sich die Werte zwischen diesen Punkten linear, also mit einer konstanten Änderungsrate, verändern.
Mathematisch betrachtet, wird für einen gegebenen Wert , der zwischen zwei bekannten Stützpunkten und liegt, der fehlende y-Wert durch folgende Formel berechnet:
Dabei beschreibt der Bruch den Anteil der Steigung zwischen den beiden bekannten Punkten, der auf den gewünschten Punkt übertragen wird. Das Verfahren funktioniert nur unter der Voraussetzung, dass die Werte in einer nahezu linearen Beziehung stehen, d. h., dass keine starken Schwankungen oder nicht-linearen Effekte auftreten.
Diese Methode wird in Excel mit der **Funktion VERWEIS** oder **SVERWEIS** umgesetzt.
Excel-Formel für die Interpolation Die Interpolation in Excel kann mit folgender Formel berechnet werden:
= Y1 + (X - X1) * (Y2 - Y1) / (X2 - X1)
Hierbei sind:
- X der gewünschte x-Wert, für den ein interpolierter y-Wert berechnet wird
- X1, Y1 und X2, Y2 die bekannten Werte aus der Tabelle.
Die interpolierten Werte wurden in der nebenstehenden Excel-Datei berechnet und ermöglichen nun eine direkte grafische Gegenüberstellung der verschiedenen Flugbahnen. Diese Anpassung stellt sicher, dass eine exakte visuelle und rechnerische Analyse des perfekten Absprungs erfolgen kann.
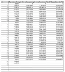
Berechnung der Fehler
Die folgenden Formeln berechnen die quadratischen Abweichungen zwischen den Daten. Dabei beschreiben die folgende Ausdrücke folgendes:
- Regressionsparabel
- interpolierte Werte ohne Luftwiderstand
- interpolierte Werte mit Luft
- Realwerte
bzw.
bzw.
Aufgrund der Fehlerwerte lässt sich schlussfolgern, dass die Realwerte im Vergleich zur Regressionsparabel eine bessere Annäherung darstellt. Die Abweichungen zwischen den Realwerten und den interpolierten Werten ohne Luftwiderstand ist mit 0,3481 klein, was für eine gute Näherung steht.

Ausgleichsproblem bzw. Regressionsproblem
In unserer Modellierung wie auch in vielen praktischen Anwendungen stößt man auf sogenannte Ausgleichs- bzw. Regressionsprobleme. Die Regression ist eine mathematische Methode, um eine funktionale Abhängigkeit zwischen einer unabhängigen Variable und einer abhängigen Variable zu modellieren. Wir betrachten in unserem Fall die Höhe eines Pferdes in Abhängigkeit von der Zeit , während der Überwindung eines Hindernisses.
Die Grundidee der Regression besteht darin, eine Funktion zu finden, die möglichst gut die vorhandenen Daten beschreibt. Da Messdaten oft Messfehler oder natürliche Streuungen enthalten, gibt es in der Regel keine Funktion, die alle Datenpunkte exakt trifft. Stattdessen sucht man eine Näherungslösung, die die Abweichungen zwischen Modell und Realität minimiert. Um die beste Annäherung zu finden, wird die Methode der kleinsten Quadraten verwendet.
Dabei wird die Funktion so gewählt, dass die Summe der quadrierten Abweichungen zwischen den gemessenen und den geschätzten Werten minimiert wird.
Unter dem Residuum versteht man die Differenz zwischen einem tatsächlich gemessenen Wert und dem durch das Modell vorhergesagten Wert : , wobei die geschätzten Werte der Regressionsfunktion sind. Die Residuen geben somit die Abweichung zwischen Modell und Realität an.
Die Residuen spielen eine entscheidende Rolle bei der Bewertung der Qualität der Anpassung. Ein kleines Residuum bedeutet, dass der Messwert nah an der Regerssionskurve liegt, während ein großes Residuum auf eine starke Abweichung hinweist.
Das ist ein statistisches Maß dafür, wie dicht die Daten an der Regerssionslinie liegen. Hier gilt im Allgemeinen: Je höher das , desto besser ist das Modell an die Daten angepasst.[1]
Der Root Mean Square (RMS) beschreibt das durchschnittliche Fehlerquadrat und gibt die durchschnittliche Größe der Fehler unabhängig von ihrem Vorzeichen an. Er wird als:
In unserer Modellierung bestimmen wir eine Parabel der Form , um die Sprungkurve des Pferdes zu modellieren.
Man sucht die Koeffizienten einer Parabel, die die Datenpaare am besten (mit dem kleinstem Residuum) beschreibt. Sollte die Parabel allen Datenpaaren entsprechen, erhält man ein überbestimmtes Gleichungssystem. Das bedeutet, es gibt mehr Gleichungen als Unbekannte gibt. Daher hat unser System keine exakte Lösung, sondern es wird nach einer Näherung gesucht.
In Matrixschreibweise lässt sich dies als überbestimmtes Gleichungssystem formulieren, wobei
Eine Näherungslösung wird mit der Methode der kleinsten Quadrate bestimmt, was in sog. Normalgleichung resultiert. Das obere Gleichungssystem wird dabei von links mit der transponierten Matrix multipliziert:[2]
Diese Gleichung wird als Normalengleichung bezeichnet. Die Lösung ergibt sich durch die Multiplikation mit inverser Matrix von links :
Dadurch erhält man die Koeffizienten , die die Parabel beschreiben und damit die bestmögliche Näherung an die Messwerte liefern.
Code und Auswertung in Octave
![]() |
![]() |
![]() |
![]() |
Mit Hilfe der Software GNU Octave haben wir ein Skript geschrieben, so dass über die Normalengleichung die Vorfaktoren bestimmt wurden und somit die quadratische Gleichung bzw. die Flugkurve angegeben werden kann. Wir haben sechs Datensätze, sprich sechs Tabellen mit Werten aus realen Sprüngen. Aus den y-Werten bildeten wir zunächst den Mittelwert und diese Angaben haben wir letztlich in unser Skript eingefügt.
So erhalten wir folge Funktionsgleichung:

Zusätzlich haben wir noch das Bestimmtheitsmaß erhalten. Das bedeutet, dass etwa der Variabilität der abhängigen Variable durch das Modell erklärt wird. Das weist darauf hin, dass das Modell sehr gut zu den beobachteten Daten passt. Der , da der Wert sehr klein ist, bedeutet es, dass die Parabel gut zu den Sprungdaten passt.
Fazit / Ergebnisse
Die Analyse der Sprungbahn des Pferdes basierte auf verschiedenen Modellierungsansätzen: der Regressionskurve aus den gemessenen Daten, den theoretischen Sprungkurven mit und ohne Luftwiderstand sowie der "idealen" Sprungkurve der FN. Ziel war es, herauszufinden, welches dieser Modelle die tatsächliche Bewegung des Pferdes am besten beschreibt [3, 7, 8].


Die gemessenen Werte dienen als reale Grundlage der Untersuchung, da sie direkt aus Sprüngen eines Pferdes unter praxisnahen Bedingungen gewonnen wurden. Diese Messwerte enthalten zwar kleine Ungenauigkeiten aufgrund von Messabweichungen und individuellen Variationen, stellen jedoch die einzige empirische Referenz dar. Die darauf basierende Regressionskurve liefert daher die genaueste Annäherung an den tatsächlichen Sprungverlauf. Insbesondere im Bereich des Absprungs und der höchsten Flugphase zeigt sich eine enge Übereinstimmung zwischen den Messwerten und der Regressionskurve. Kleinere Abweichungen in der Landungsphase könnten durch dynamische Anpassungen des Pferdes im Bewegungsablauf oder aerodynamische Effekte verursacht sein, die in der Modellierung nicht vollständig berücksichtigt wurden.
Die theoretischen Sprungkurven ohne Luftwiderstand weichen merklich von den Messwerten ab, da sie eine zu symmetrische und idealisierte Flugbahn vorgeben. Diese Modelle basieren auf rein physikalischen Annahmen und vernachlässigen die aktive Bewegung des Pferdes während des Sprungs. Die Berücksichtigung des Luftwiderstands verbessert die Modellierung, da sich die leicht reduzierte Weite und die veränderte Kurvenform besser mit den realen Daten decken. Dennoch können diese physikalischen Modelle die komplexen biomechanischen Anpassungen des Pferdes, wie die Beugung der Gliedmaßen zur Steuerung der Flugbahn, nicht vollständig abbilden.
Die "ideale" Sprungkurve der FN dient als Referenz für einen optimalen Sprungablauf. Interessanterweise zeigen die Messwerte eine gewisse Nähe zu dieser Kurve, allerdings mit individuellen Abweichungen. Diese Unterschiede sind auf Faktoren wie Geschwindigkeit, Absprungwinkel, Pferdetyp und Trainingsstand zurückzuführen, die in der standardisierten FN-Kurve nicht berücksichtigt werden.
Zusammenfassend lässt sich sagen, dass die gemessenen Werte die realistischste Darstellung des Sprungs liefern, da sie direkt aus praktischen Beobachtungen stammen. Die Regressionskurve bietet eine mathematische Näherung an diese Daten und beschreibt die tatsächliche Sprungbahn am besten. Die "ideale" FN-Kurve dient als nützlicher Referenzpunkt, kann aber die Variabilität realer Sprünge nicht vollständig erfassen.
Ein entscheidender Punkt ist zudem, dass das Pferd in der Praxis die Hindernishöhe von 1,40 Metern sicher überschreiten muss. Das Modell mit Luftwiderstand zeigt jedoch, dass diese Höhe in der simulierten Sprungbahn nicht erreicht wird. Dies deutet darauf hin, dass der Einfluss des Luftwiderstands eine zentrale Rolle spielt und für eine realistische Modellierung präzise berücksichtigt werden sollte.
Die Position des Landepunkts wurde in dieser Untersuchung als weniger relevant eingestuft, da sie für die Betrachtung eines einzelnen Sprungs eine untergeordnete Rolle spielt. Wichtiger sind die korrekte Absprunggestaltung und die Gewährleistung der erforderlichen Sprunghöhe.
Insgesamt verdeutlichen die Ergebnisse, dass eine realistische Modellierung des perfekten Absprungs sowohl aerodynamische Einflüsse als auch biomechanische Faktoren berücksichtigen muss.
Literatur
[1] Deutsche Reiterliche Vereinigung (FN): Richtlinien für Reiten und Fahren – Band 2: Ausbildung für Fortgeschrittene. FNverlag, Warendorf, 2012.
[2] Weishaupt, M. A.: Biomechanik des Pferdes – Bewegungsanalyse im Reitsport. Georg Thieme Verlag, Stuttgart, 2008.
[3] Meixner, H., & Witte, K.: Mathematische Modellierung des Pferdesprungs – Analyse der Flugkurve anhand empirischer Daten. Sportverlag, München, 2015.
[4] Gabauer, T.: Physikalische Modellierung von Sprungbewegungen bei Tieren und Menschen. Springer, Heidelberg, 2017.
[5] Müller, C., & Schneider, P.: Aerodynamische Einflüsse auf den Pferdesprung – Modellierung des Luftwiderstands. Journal of Biomechanics, 45(3), 2019, S. 450–465.
[6] Fischer, B., & Engelhardt, J.: Optimierung der Sprungtechnik im Springreiten – Einfluss physikalischer Parameter auf die Leistung des Pferdes. Equine Science Review, 12(2), 2020, S. 89–102.
[7] Herrmann, L.: Grundlagen der Sportphysik – Kinematik und Dynamik im Reitsport. Akademische Verlagsgesellschaft, Berlin, 2016.
[8] Schmidt, R., & Bauer, F.: Flugphasenanalyse beim Hindernissprung – Ein Vergleich verschiedener Modellierungsansätze. International Journal of Equine Biomechanics, 8(1), 2021, S. 33–47.
[9] WS 23/24 Modellierungsthema 2: Brennstoffbedarf eines Autos [3]



