Kurs:Mathematische Modellbildung/Themen/Erneuerbare Energien/Modellierungszyklus 3
Zielsetzung
Das Ziel im 3. Modellierungszyklus besteht darin, ...
- den Übergang von einem stationären System zu einen dynamischen System zu vollziehen.
- den Einbezug neuer und aktuellerer Daten zu ermöglichen.
- Minimierung des mittleren quadratischen Fehlers zwischen den neuen Daten und dem vorhandenen Verlauf
Vorgehensweise
Daten
Die Grundlage für ein dynamisches System bilden neue Daten , die z.Bsp. in einem Tabellenkalkulationsprogramm gesammelt werden können.
In diesem Zyklus beschränken wir uns dabei zuerst auf ein bestimmtes Zeitintervall zwischen zwei bestehenden Stützstellen. Hierfür verwendet wir den Zeitraum zwischen 7 Uhr und 8 Uhr. Für dieses Intervall werden neue Daten gesammelt und eingebunden.
Fehlerfunktion
Als Fehlerfunktion betrachten wir die mittlere quadratische Abweichung zwischen den neuen Datenwerten und den entsprechenden Funktionswert.
Da die Visualisierung anschließend in GeoGebra umgesetzt werden soll, sind wir daran interessiert wohin sich die bisherigen Stützstellen und verschieben, sodass die mittlere quadratische Abweichung minimiert wird.
Herleitung mittels Konvexkombination 1. Ordnung
Die Gerade zwischen den Stützstellen wird als Konvexkombination 1. Ordnung dargestellt. Dazu betrachtet man im nur die y-Komponente. Es gilt:
- mit
kann nun folgendermaßen dargestellt werden:
Zwischen den Stützpunkten und ergibt sich somit folgende Funktionsgleichung:
Vollständige Fehlerfunktion
Mit dieser Funktionsgleichung lautet unsere Fehlerfunktion nun:
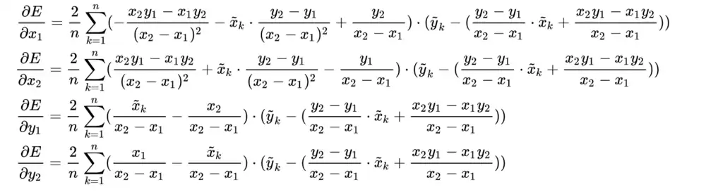
Zur Minimierung des Fehlers verwendet wir das Gradientenabstiegsverfahren, welches in Octave umgesetzt wird. Da unsere Fehlerfunktion von , , , abhängt müssen wir diese vier mal partiell ableiten um unseren Gradienten zu erhalten. Die partiellen Ableitung wurden mithilfe von WxMaxima berechnet.
Partielle Ableitungen

Bestimmung der verbesserten Werte
Die Richtung des Gradienten zeigt immer in Richtung des steilsten Anstiegs[1]. Da wir jedoch unseren Fehler minimieren möchten, bilden wir den negativen Gradienten. Unter Benutzung des negativen Gradienten berechnen wir in Octave nun die neuen Werte bzgl. , , und wie folgt:
Iterationsschritt
Erläuterung
Hierbei ist L die sogenannte Schrittweite, die angibt, wie schnell wir uns dem Minimum annähern. Bei der Wahl der Schrittweite muss darauf geachtet werden, dass diese nicht zu groß ist, denn sonst besteht die Gefahr, dass das Gradientenabstiegsverfahren divergiert.
Hat die Fehlerfunktion einen minimalen Wert angenommen, so haben wir die neuen Werte bzgl. , , und gefunden.
Zur Visualisierung können die Stützstellen zu Begin nun auf die neuen Koordinaten verschoben werden.
Bewertung und Optimierung
Bewertung
- beliebige Daten zwischen zwei vorhandenen Stützstellen können in das Modell integriert werden
- es können in diesem Zeitintervall zu beliebigen Zeiten Messungen stattfinden
- Kurvenverlauf bzgl. der Konvexkombination passt sich durch das dynamische System (in GeoGebra) automatisch an
Optimierung
- Einbezug weiterer Intervalle um einen größeren Zeitraum abzudecken
- Übergang von linearer Regression zu nicht-linearer Regression
- Anpassung bzgl. der Ortskurve der Konvexkombination 3. Ordnung
Weitere Vorgehensweise
Im folgenden wird erläutert, wie man vorgehen würde, um eine nicht-lineare Regression bzgl. einer Konvexkombination 3. Ordnung durchzuführen. Seien und die jeweiligen Stützstellen und , mit die dazugehörigen Hilfspunkte.
Bestimmung der Funktion f(x)
Konvexkombination 3. Ordnung
Für die y-Komponeten der Konvexkombination 3. Ordnung gilt:
Funktion f(x)
Mit folgt:

Bestimmung der Hilfspunkte H1 und H2 in Abhängigkeit von D1 und D2
Für die Koordinaten des Hilfspunkts H1 Hilfspunkt gilt allgemein:
Bestimmung der x-Koordinate
Die x-Koordinate ist bekannt:
Bestimmung der y-Koordinate
- Mithilfe des 2. Strahlensatz:

Seiteninformation
Diese Lernresource können Sie als Wiki2Reveal-Foliensatz darstellen.
Wiki2Reveal
Dieser Wiki2Reveal Foliensatz wurde für den Lerneinheit Kurs:Mathematische_Modellbildung' erstellt der Link für die Wiki2Reveal-Folien wurde mit dem Wiki2Reveal-Linkgenerator erstellt.
- Die Seite wurde als Dokumententyp PanDocElectron-SLIDE erstellt.
- Link zur Quelle in Wikiversity: https://de.wikiversity.org/wiki/Kurs:Mathematische_Modellbildung/Themen/Erneuerbare_Energien/Modellierungszyklus_3
- siehe auch weitere Informationen zu Wiki2Reveal und unter Wiki2Reveal-Linkgenerator.