Positionswurf beim Basketball/Abwurfwinkel Daten
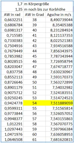
Beim Abwurf von der Freiwurflinie (4,19m Entfernung) ergeben sich folgende Daten, mit Berücksichtigung verschiedener Körpergröße:


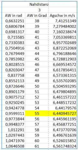
Beim Abwurf einer Person mit 2m Körpergröße ergeben sich folgende Daten, mit Berücksichtung verschiedener Distanzen zum Korb:
