Background Theory: Solving ODEs with Constant Coefficients[1][2]
Consider a second-order homogeneous linear ODE with constant coefficients a and b.
-

|
|
(I-1)
|
To solve this problem, note that the solution to a first-order linear ODE of the form:
-

|
|
|
is an exponential function, yielding a solution of the form:
-

|
|
(I-2)
|
Based upon this, we will expand the solution to apply to second-linear homogeneous ODEs. To do so, we must first find equations describing
and
, and so we will take the derivatives (with respect to x) of (I-2).
-

|
|
(I-3)
|
-

|
|
(I-4)
|
We will now substitute (I-2), (I-3), and (I-4) into (1-1) to obtain the relationship:
-

|
|
(I-5)
|
- Simplifying, we have:
-

|
|
|
-

|
|
(I-6)
|
Since (I-6) follows the same form as the quadratic equation, we can solve for
and
as follows:
-

|
|
|
-

|
|
|
Referring back to algebra, we know that the solution to these two equations can be one of three cases:
Case 1
Two real roots if...
-

|
|
|
These two roots give us two solutions:
 |
|
and |
|
|
The corresponding general solution then takes the form of the following:
-

|
|
(I-7)
|
Case 2
A real double root if...
-

|
|
|
This yields only one solution:

In order to form a basis, a set of two linearly independent solutions, we must find another solution. To do so, we will use the method of reduction of order, where:

- and
- yeilding


Since
is a solution of (1-1), the last set of parentheses is zero.
Similarly, the first parentheses is zero as well, because

From integration, we get the solution:

If we set
and

Thus, the general solution is:
-

|
|
(I-8)
|
Case 3
Complex conjugate roots if...
-

|
|
|
In this case, the roots of (1-6) are complex:
- and

Thus, the corresponding general solution is of the form:
-

|
|
(I-9)
|
Contributions
Typed by - Mark James 2/6/2012 12:08 PM UTC
Reviewed By - Jennifer Melroy 2/6/2012 2:15 UTC
Edited By - N/A
References
- ↑ Kreyszig, Erwin; Herbert Kreyszig; Edward J. Norminton (2011). Advanced Engineering Mathematics. John Wily & Sons, Inc. ISBN 978-0-470-45836-5. Pg 52-58
- ↑ Team 7: Report 1
R.2.1
Problem Statement
For this problem, the task was to derive the linear second-order non-homogeneous ODE and its solution given the two roots, initial conditions, and general excitation. However, for this problem it was assumed that r(x) = 0. Then, three non-standard and non-homogeneous ODE's were generated from the two given roots.
Roots:
-

|
|
|
Initial conditions:
-

|
|
|
Background Theory
To solve this problem, it is necessary to know the general form for a linear second-order ODE:
-

|
|
(1-1)
|
and that the characteristic equation for this type of ODE can be written as
-

|
|
(1-2)
|
Solution
Substitution both roots into the characteristic equation,
-

|
|
|
and distributing fully yields
-

|
|
|
The characteristic equation can be used to form the second-order ODE:
-

|
|
(1-3)
|
Therefore, the solution for the homogeneous function is in the form of
-

|
|
|
and its derivative is
-

|
|
|
Algebraic substitution yields:
-

|
|
()
|
-

|
|
()
|
-

|
|
()
|
-

|
|
()
|
-

|
|
()
|
-

|
|
()
|
Plugging in initial conditions,
-

|
|
|
and
-

|
|
|
Algebraic substitution and solving for each constant term yields:
-

|
|
()
|
-

|
|
()
|
-

|
|
()
|
-

|
|
()
|
-

|
|
()
|
-

|
|
()
|
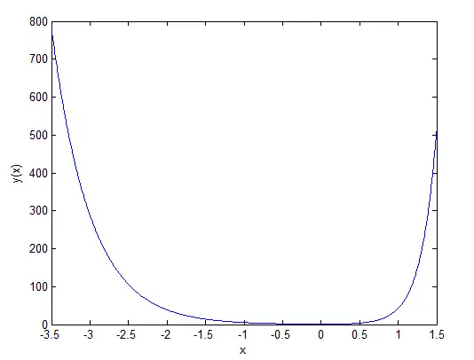
Therefore, since r(x)=0,
-

|
|
(1-4)
|
and the graph of y(x) is

Generated ODEs
Equation 1 (m = 7)
-

|
|
|
-

|
|
|
Therefore,
-

|
|
|
Equation 2 (m = 2)
-

|
|
|
-

|
|
|
Therefore,
-

|
|
|
Equation 3 (m = 20)
-

|
|
|
-

|
|
|
Therefore,
-

|
|
|
Contributions
Typed by - Maxwell Shuman 2/6/2012 15:10 PM UTC
Reviewed By - Jennifer Melroy 2/6/2012 2:15 UTC
Edited By - N/A
R.2.2
Problem Statement
Find and plot the solution for
-

|
|
|
With the initial conditions of
-

|
|
|
-

|
|
|
-

|
|
|
Background Theory
From the background theory at the beginning of this report, using the quadratic formula we find that
-

|
|
|
In this case
-

|
|
|
This would make this problem under the category of Case 2, in which the general solution becomes equation (I-2)
-

|
|
|
Solution
To find ʎ we use
-

|
|
|
and we find that
-

|
|
|
Because the problem is in the category of Case 2, the general solution is
-

|
|
(2-1)
|
Differentiating this general solution gives us
-

|
|
(2-2)
|
Using equation(2-1) and plugging in the inital condition of y(0)= 1 , we find that
-

|
|
|
-

|
|
|
-

|
|
|
Using equation (2-2) and plugging in the initial condition of y'(0)=0 and
, we find that
-

|
|
(2-2)
|
-

|
|
|
-

|
|
|
-

|
|
|
The general solution for this problem will be
-

|
|
(2-3)
|
Contributions
Typed by ---Dalwin Marrero 21:59, 6 February 2012 (UTC)
Reviewed By - Jennifer Melroy 2/6/2012 2:15 UTC
Edited By - N/A
R.2.3
P.2.2.3
Problem Statement
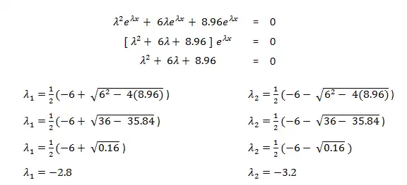
For this problem, we were tasked with finding the general solution to the homogeneous linear ODE given below:
-

|
|
(3a-1)
|
Solution
Following the process that yields (I-6), we find the equation:
-

|
|
(3a-2)
|
To find the form of the general solution, we must solve for the values of
using the quadratic formula:

Since the solutions to
are complex numbers, our solution takes the form of (I-7):
-

|
|
(3a-3)
|
and
are constant coefficients of unknown value. Had we been given initial values of
and
, we would solve for those values as well.
Confirmation of Solution
To confirm that the solution is true, we will substitute
,
, and
into (3a-1). If the final result is a tautology[1] then the solution is confirmed. If the result is a contradiction, a statement that is never true, then our solution is disproved.
-

|
|
|
-

|
|
(3a-4)
|
-

|
|
(3a-5)
|
Substituting (3a-3), (3a-4), and (3a-5) into (3a-1), we are left with:
-
![{\displaystyle [7.84c_{1}e^{-2.8x}+10.24c_{2}e^{-3.2x}]+6[-2.8c_{1}e^{-2.8x}+-3.2c_{2}e^{-3.2x}]+8.96[c_{1}e^{-2.8x}+c_{2}e^{-3.2x}]=0}](../../../_assets_/eb734a37dd21ce173a46342d1cc64c92/0f35794e2f79b7a834b56648dd88ac15710b0f52.svg)
|
|
|
Combining similar terms allows us to clean up this solution and check our answer:
-
![{\displaystyle c_{1}e^{-2.8x}[7.84+6(-2.8)+8.96]+c_{2}e^{-3.2x}[10.24+6(-3.2)+8.96]=0}](../../../_assets_/eb734a37dd21ce173a46342d1cc64c92/4f3717d4d1dc61f886232603088bab73c1786379.svg)
|
|
|
-
![{\displaystyle c_{1}e^{-2.8x}[16.8-16.8]+c_{2}e^{-3.2x}[19.2-19.2]=0}](../../../_assets_/eb734a37dd21ce173a46342d1cc64c92/1070ec1411a44b7381f62372cd868c0ec5f6604a.svg)
|
|
|
-
![{\displaystyle c_{1}e^{-2.8x}[0]+c_{2}e^{-3.2x}[0]=0}](../../../_assets_/eb734a37dd21ce173a46342d1cc64c92/939856138190895b6eb2467160f2b1bd8aca4d81.svg)
|
|
|
-

|
|
|
Final Solution
Since the outcome of our check is a tautology, the solution is confirmed for all values of A and B and we affirm that the final solution is:

Problem Statement
For this problem, we were tasked with finding the general solution to the homogeneous linear ODE given below:
-

|
|
(3b-1)
|
Solution
Following the process that yields (I-5), we find the equation:
-

|
|
(3b-2)
|
To find the form of the general solution, we must solve for the values of
using the quadratic formula:
Since the solutions to
are complex numbers, our solution takes the form of (I-9):
-

|
|
(3b-3)
|
A and B are constant coefficients of unknown value. Had we been given initial values of
and
, we would solve for those values as well.
Confirmation of Solution
To confirm that the solution is true, we will substitute
,
, and
into (3b-1). If the final result is a tautology[1] then the solution is confirmed. If the result is a contradiction, a statement that is never true, then our solution is disproved.
-

|
|
|
-

|
|
(3b-4)
|
-

|
|
|
-

|
|
(3b-5)
|
Substituting (3b-3), (3b-4), and (3b-5) into (3b-1), we are left with:
-
![{\displaystyle [4e^{-2x}(Acos(\pi x)+Bsin(\pi x))-2e^{-2x}(-A\pi sin(\pi x)+B\pi cos(\pi x))-2e^{-2x}(-A\pi sin(\pi x)+B\pi cos(\pi x))+e^{-2x}(-A\pi ^{2}cos(\pi x)-B\pi ^{2}sin(\pi x))]}](../../../_assets_/eb734a37dd21ce173a46342d1cc64c92/f15c14fc35b66f612e166005cb7bfb1c8a23639b.svg)
|
|
|
-
![{\displaystyle +4[-2e^{-2x}(Acos(\pi x)+Bsin(\pi x))+e^{-2x}(-A\pi sin(\pi x)+B\pi cos(\pi x))]+(\pi ^{2}+4)[e^{-2x}(Acos(\pi x)+Bsin(\pi x))]=0}](../../../_assets_/eb734a37dd21ce173a46342d1cc64c92/48717170c62d5de5a23adf356fbad9cfa84ee8f1.svg)
|
|
|
Combining similar terms allows us to clean up this solution and check our answer:
-
![{\displaystyle e^{-2x}[cos(\pi x)[(4A-2B\pi -2B\pi -A\pi ^{2})+(-8A+4B\pi )+(A\pi ^{2}+4A)]+sin(\pi x)[(4B+2A\pi +2A\pi -B\pi ^{2})+(-8B-4A\pi )+(B\pi ^{2}+4B)]]=0}](../../../_assets_/eb734a37dd21ce173a46342d1cc64c92/aee1fb1a6301e734d02c002b85368180a11de76a.svg)
|
|
|
-
![{\displaystyle e^{-2x}[cos(\pi x)[A(4+4-8-\pi ^{2}+\pi ^{2})+B(-2\pi -2\pi +4\pi )]+sin(\pi x)[A(2\pi +2\pi -4\pi )+B(4+4-8-\pi ^{2}+\pi ^{2})]]=0}](../../../_assets_/eb734a37dd21ce173a46342d1cc64c92/12d747b11c66eb6d5435adc1162058326645076d.svg)
|
|
|
-
![{\displaystyle e^{-2x}[cos(\pi x)(0)+sin(\pi x)(0)]=0}](../../../_assets_/eb734a37dd21ce173a46342d1cc64c92/f9cb6106d2f7c3c087c7ba43827bab90c03b7b16.svg)
|
|
|
-

|
|
|
Final Solution
Since the outcome of our check is a tautology, the solution is confirmed for all values of A and B and we affirm that the final solution is:

Contributions
Typed by - Mark James 2/6/2012 12:08 PM UTC
Reviewed By - Jennifer Melroy 2/6/2012 2:15 UTC
Edited By - N/A
References
- ↑ 1.0 1.1 Introduction to Propositional Logic
- ↑ Team 7: Report 1
R.2.4
P.2.2.5
Problem Statement
For this problem, we were asked to find the general solutions for problem 5 on page 59 of (need to site book; do not know how to)
-

|
|
|
Solution
Following the process that yields (I-5), we find the equation:
-

|
|
|
To find the form of the general solution, we must solve for the values of
. Instead of going through the quadratic formula, we can analyze the discriminant.
-

|
|
|
Thus we see that the discriminant follows Case 2 and the general solution must follow the form of (I-8), and we have the following:
-

|
|
|
where
and
are unknown constant coefficients. If this were an initial value problem with values of
and
, we would solve for those values as well.
Confirmation of Solution
To confirm that the solution is true, we will substitute
,
, and
and check to see if the final result is a tautology or a contradiction.
-

|
|
|
-

|
|
|
Substituting, we are left with:
-
![{\displaystyle [\pi ^{2}(c_{1}+c_{2}x)e^{-\pi x}+-2\pi c_{2}e^{-\pi x}]+2\pi [-\pi (c_{1}+c_{2}x)e^{-\pi x}+c_{2}e^{-\pi x}]+\pi ^{2}[(c_{1}+c_{2}x)e^{-\pi x}]=0}](../../../_assets_/eb734a37dd21ce173a46342d1cc64c92/bd6970b5597f45c7ef1a37b19633f3a8853e0eba.svg)
|
|
|
After combining similar terms, we have the form:
-
![{\displaystyle \pi ^{2}[(c_{1}+c_{2}x)e^{-\pi x}-2(c_{1}+c_{2}x)e^{-\pi x}+(c_{1}+c_{2}x)e^{-\pi x}]+2\pi [c_{2}e^{-\pi x}-c_{2}e^{-\pi x}]=0}](../../../_assets_/eb734a37dd21ce173a46342d1cc64c92/371650ca0730652c5ef18b1742a8c8877079f477.svg)
|
|
|
-

|
|
|
Final Solution
Since the above result is a tautology for all values of
and
,the general solution is:
-

|
|
|
P2.2.6
Problem Statement
For this problem, we were asked to find the general solutions for problem 6 on page 59 of (need to site book; do not know how to)
-

|
|
|
Solution
For this problem, we have to divide by 10 to put the equation in standard form, making it
-

|
|
|
Following the process that yields (I-5), we find the equation:
-

|
|
|
To find the form of the general solution, we must solve for the values of
. Instead of going through the quadratic formula, we can analyze the discriminant.
-

|
|
|
Thus we see that the discriminant follows Case 2 and the general solution must follow the form of (I-8), and we have the following:
-

|
|
|
-

|
|
|
where
and
are unknown constant coefficients. If this were an initial value problem with values of
and
, we would solve for those values as well.
Confirmation of Solution
To confirm that the solution is true, we will substitute
,
, and
and check to see if the final result is a tautology or a contradiction.
-

|
|
(5b-4)
|
-

|
|
(5b-5)
|
Substituting, we are left with:
-
![{\displaystyle [2.56(c_{1}+c_{2}x)e^{1.6x}+3.2c_{2}e^{1.6x}]+3.2[1.6(c_{1}+c_{2}x)e^{1.6x}+c_{2}e^{1.6x}]+2.56[(c_{1}+c_{2}x)e^{1.6x}]=0}](../../../_assets_/eb734a37dd21ce173a46342d1cc64c92/4c85b490e579deddacf000fe96da507e14674f50.svg)
|
|
|
After combining similar terms, we have the form:
-
![{\displaystyle 2.56[(c_{1}+c_{2}x)e^{1.6x}-2(c_{1}+c_{2}x)e^{1.6x}+(c_{1}+c_{2}x)e^{1.6x}]+3.2[c_{2}e^{1.6x}-c_{2}e^{1.6x}]=0}](../../../_assets_/eb734a37dd21ce173a46342d1cc64c92/0bca5c97e2405bca952fa039edb2cf082bdb4406.svg)
|
|
|
-

|
|
|
Final Solution
Since the above result is a tautology for all values of
and
,the general solution is:
-

|
|
|
Contributions
Typed by - Mark James 2/6/2012 12:08 PM UTC
Reviewed By - Jennifer Melroy 2/6/2012 2:15 UTC
Edited By - N/A
R.2.5
Background Theory
A basis is the root of a ODE. They take the form of
-

|
|
(4-1)
|
They can be used to identify which background case can be applied.
It can also be noted that
-

|
|
(4-2)
|
P.2.2.16
Problem Statement
For this problem find the ordinary differential equation in the from of (I-1)
using the following basis the fit the form of (I-4)
-

|
|
(4a-1)
|
-

|
|
(4a-2)
|
Solution
For this solution, it is assumed that
-

|
|
(4a-3)
|
-

|
|
(4a-4)
|
Since(4a-3) and (4a-4) match the given roots in Case 1, the general solution in the form of (I-7) can be found by substituting (4a-3) and (4a-4). This results in
-

|
|
(4a-5)
|
From (4a-5),
and
can be found
-

|
|
(4a-6)
|
-

|
|
(4a-7)
|
Using the relationship in (I-6), and proprieties of quadratic equations it can be assumed
-

|
|
(4a-8)
|
Multiplying (4a-8) out give the form
-

|
|
(4a-9)
|
Since (4a-9) is in the form of (I-6), the relationship in (4-2) can be used to get the form of
-

|
|
(4a-10)
|
P.2.2.17
Problem Statement
For this problem find the ordinary differential equation in the from of (I-1)
using the following basis the fit the form of (I-4)
-

|
|
(4b-1)
|
-

|
|
(4b-2)
|
Solution
For this solution, it is assumed that
-

|
|
(4b-3)
|
-

|
|
(4b-4)
|
Since(4b-3) and (4b-4) match the given roots in Case 2, the general solution in the form of (I-8) can be found by substituting (4b-3) and (4b-4). This results in
-

|
|
(4b-5)
|
From (4b-5),
can be found
-

|
|
(4b-6)
|
Using the relationship in (I-6), and proprieties of quadratic equations it can be assumed
-

|
|
(4b-7)
|
Multiplying (4b-7) out give the form
-

|
|
(4b-8)
|
Since (4b-8) is in the form of (I-6), the relationship in (4-2) can be used to get the form of
-

|
|
(4b-9)
|
Contributions
Solved and Typed by - Jennifer Melroy 2/4/2012 9:20 PM UTC
Reviewed By -
Edited By - N/A
References
R.2.6
Problem Statement
Given this system:

It was found that the equation for this system is
-

|
|
(6-1)
|
The parameters of this equation can be found by the characteristic equation for a double real root if given a value for
.
Find the values of m , k , and c with
.
Solution
With
then the characteristic equation becomes
-

|
|
(6-2)
|
If we relate these equations we can say that the coefficients in (6-1) and (6-2) are the same.
With that said then,
-

|
|
(6-3)
|
-

|
|
(6-4)
|
-

|
|
(6-5)
|
We are fortunate that with this method m and k are solved without any need for calculation.
This leaves c to be solved using (6-3).
-

|
|
|
-

|
|
|
-

|
|
|
So m = 1, k = 9 and c = 1.5
Contributions
Typed by - Yamil Herrera 2/6/2012 12:08 PM UTC
Reviewed By - Jennifer Melroy 2/6/2012 2:15 UTC
Edited By - N/A
R.2.7
Background
Taylor series is a method used to find the value of a equation using a set of infinite sums of the its derivatives at a certain point a.
Taylor Series:
-

|
|
(7-1)
|
The MacLaurin Series is the most basic form of the Taylor series by making a=0.
Maclaurin Series:
-

|
|
(7-2)
|
Problem Statement
Develop a MacLaurin series for the following equations:
, cos(t), and sin(t).
Solution
The first step for finding the solution is to solve for f(a) and its derivatives.
For
(where y = f(a)) the first three derivatives come out to:
-

|
|
|
-

|
|
|
-

|
|
|
-

|
|
|
Once the derivatives are found, make t=0, and plug back into (7-2) which results in the equation:
-

|
|
(7-3)
|
Doing the same thing for y= cos(t)the derivatives come out to:
-

|
|
|
-

|
|
|
-

|
|
|
-

|
|
|
-

|
|
|
Again, plugging in zero and placing the ys into (7-2) you get:
-

|
|
(7-4)
|
Repeating the same method for y= sin(t) as the previous two equations the derivatives come out as:
-

|
|
|
-

|
|
|
-

|
|
|
-

|
|
|
-

|
|
|
-

|
|
|
Using (7-2) you get the equation:
-

|
|
(7-5)
|
R.2.8
P.2.2.8
Problem Statement
For this problem, find the general solution for the following equation:
-

|
|
(8-1)
|
Solution
From the equation (8-1) our a=1 and b=3.25
With this information we can decide what kind of root we have.
-

|
|
(8a-1)
|
So with a=1 and b=3.25
Since (8a-1) is less than zero, we can use Case 3 from our Background Theory.
Our general solution will be:
-

|
|
(8a-2)
|
To find
we need to use the characteristic equation (I-6) and solve for the root
-

|
|
(8a-3)
|
where
-

|
|
(8a-4)
|
Using (8a-4) we can solve for
-

|
|
(8a-5)
|
Now that we have
we can plug it in to get our general solution from (8a-2)
-

|
|
(8a-6)
|
Confirmation of Solution
To confirm that the solution is true, we will find
and
and plug it into (8-1). If the result agrees and equals zero then it it considered true.
-

|
|
|
-

|
|
(8a-7)
|
-

|
|
|
-

|
|
(8a-8)
|
Substituting (8a-6), (8a-7), and (8a-8) into (8-1), we are left with:
-

|
|
|
-

|
|
|
-
![{\displaystyle (A\cos({\sqrt {3}}x)+B\sin({\sqrt {3}}x))+e^{-{\frac {x}{2}}}(-A{\sqrt {3}}\sin({\sqrt {3}}x)+B{\sqrt {3}}\cos({\sqrt {3}}x))]+3.25[e^{-{\frac {x}{2}}}}](../../../_assets_/eb734a37dd21ce173a46342d1cc64c92/029fb25658250d9f9223c487e8cb57382d031ceb.svg)
|
|
|
-
![{\displaystyle (A\cos({\sqrt {3}}x)+B\sin({\sqrt {3}}x))]=0}](../../../_assets_/eb734a37dd21ce173a46342d1cc64c92/0a808669763ac4c9622eb40a25f1ba352c9f6c49.svg)
|
|
|
Combining similar terms allows us to clean up this solution and check our answer:
-
![{\displaystyle e^{-{\frac {x}{2}}}[\cos({\sqrt {3}}x)[(.25A-0.5B{\sqrt {3}}-0.5B{\sqrt {3}}-3A)+(-0.5A+B{\sqrt {3}})+(3.25A)]}](../../../_assets_/eb734a37dd21ce173a46342d1cc64c92/c30fa716f3264cb67bdddbf829a0e71ca73e73f1.svg)
|
|
|
-
![{\displaystyle +\sin({\sqrt {3}}x)[(0.25B+0.5A{\sqrt {3}}+0.5A{\sqrt {3}}-3B)+(-0.5B-A{\sqrt {3}})+3.25B]]=0}](../../../_assets_/eb734a37dd21ce173a46342d1cc64c92/6cfe7d110c37a50d57e5714ac2faaeddc3ab8768.svg)
|
|
|
-
![{\displaystyle e^{-{\frac {x}{2}}}[\cos({\sqrt {3}}x)(0)+\sin({\sqrt {3}}x)(0)]=0}](../../../_assets_/eb734a37dd21ce173a46342d1cc64c92/e652eaccbe08697e2045e5dd9e34e55990079448.svg)
|
|
|
-

|
|
|
P.2.2.15
Problem Statement
For this problem, find the general solution for the following equation:
-

|
|
(8-2)
|
Solution
From the equation (8-2) our a=0.54 and b=0.0729+
With this information we can decide what kind of root we have.
-

|
|
(8b-1)
|
So with a=0.54 and b=0.0729+
3.25
Since (8b-1) is less than zero, we can use Case 3 from our Background Theory.
Our general solution will be:
-

|
|
(8b-2)
|
To find
we need to use the characteristic equation (I-6) and solve for the root
-

|
|
(8b-3)
|
where
-

|
|
(8b-4)
|
Using (8b-4) we can solve for
-

|
|
(8b-5)
|
Now that we have
we can plug it in to get our general solution from (8b-2)
-

|
|
(8b-6)
|
Confirmation of Solution
To confirm that the solution is true, we will find
and
and plug it into (8-2). If the result agrees and equals zero then it it considered true.
-

|
|
|
-

|
|
(8b-7)
|
-

|
|
|
-

|
|
(8b-8)
|
Substituting (8b-6), (8b-7), and (8b-8) into (8-2), we are left with:
-

|
|
|
-
![{\displaystyle +B{\sqrt {\pi }}\cos({\sqrt {\pi }}x))+e^{-0.27x}(-A\pi \cos({\sqrt {\pi }}x)-B\pi sin({\sqrt {\pi }}x))]+0.54[-0.27e^{-0.27x}(A\cos({\sqrt {\pi }}x)+B\sin({\sqrt {\pi }}x))}](../../../_assets_/eb734a37dd21ce173a46342d1cc64c92/da146e074c581bc1b6e6c3d967ea495cec621692.svg)
|
|
|
-
![{\displaystyle +e^{-0.27x}(-A{\sqrt {\pi }}\sin({\sqrt {\pi }}x)+B{\sqrt {\pi }}\cos({\sqrt {\pi }}x))]+(0.0729+\pi )[e^{-0.27x}(A\cos({\sqrt {\pi }}x)+B\sin({\sqrt {\pi }}x))]=0}](../../../_assets_/eb734a37dd21ce173a46342d1cc64c92/6650606bb7ec90b6da9dfffbab5e6cb7819b2b5e.svg)
|
|
|
Combining similar terms allows us to clean up this solution and check our answer:
-
![{\displaystyle e^{-0.27x}[\cos({\sqrt {\pi }}x)[(0.54A-0.27B{\sqrt {\pi }}-0.27B{\sqrt {\pi }}-A\pi )+(-0.1458A+0.54B{\sqrt {\pi }})+(0.0729A+A\pi )]+\sin({\sqrt {\pi }}x)}](../../../_assets_/eb734a37dd21ce173a46342d1cc64c92/826a490b37e5d8d6c371c4bac4b5f3105d5ab458.svg)
|
|
|
-
![{\displaystyle [(0.54B+0.27A{\sqrt {\pi }}+0.27A{\sqrt {\pi }}-B\pi )+(-0.1458B-0.54A\pi )+(0.0729B+B\pi )]]=0}](../../../_assets_/eb734a37dd21ce173a46342d1cc64c92/11c18f5d759441f113926248f9b3721bf9cd3803.svg)
|
|
|
-
![{\displaystyle e^{-0.27x}[\cos({\sqrt {\pi }}x)(0)+\sin({\sqrt {\pi }}x)(0)]=0}](../../../_assets_/eb734a37dd21ce173a46342d1cc64c92/781c0e94d731565d78b3bb3424bb242b100785a2.svg)
|
|
|
-

|
|
|
Contributions
Typed by - Yamil Herrera 2/6/2012 12:08 PM UTC
Reviewed By - Jennifer Melroy 2/6/2012 2:15 UTC
Edited By - N/A
R.2.9
Problem Statement
For this problem we were to find and plot a solution to the following problem
-

|
|
(9-1)
|
We also had to superpose three figures: one for this problem, and problems .
Background Theory
In the problem we were given the initial conditions
,
,
and that there is no excitation, having
.
There are a few steps that we have to go through before we can solve this problem. We first have to solve for
and
. To find out what
and
equal we can apply pythagorean theorem,
-

|
|
(9-2)
|
We will know if this problem has complex roots or not by applying
. If the answer we get is greater than zero we will use case one. If it is equal to zero we will use vase two and if it is less than zero we will use case 3.
-

|
|
|
, so we will use case 3.
The standard form for case 3 is (l-9)
We will also have to find out what
and
are equal to and we use this equation to find out what they are
-

|
|
(9-5)
|
Solution
Part 1
This first step in solving this problem is to factor in the fact that there is no excitation.
-

|
|
(9-6)
|
Once we have does this we need to solve for
and
. When apply
(9-2) we get
-

|
|
|
. After reducing it down we end up with
-

|
|
|
Now that we know what
and
are equal to, we apply (9-5) to find out what
and
are.
We find that
and
Knowing that we have complex roots, we can now plug the known values of
and
, into (9-4).
Once we do this we have
-
![{\displaystyle y(x)=e^{-2x}[{C_{1}cos(3x)+C_{2}sin(3x)}]}](../../../_assets_/eb734a37dd21ce173a46342d1cc64c92/1ad06925777d8720ae68629cd4be46012a664b30.svg)
|
|
(9-7)
|
The next step we have to do is to take the derivative of (9-7).
We end up getting
-
![{\displaystyle y'(x)=e^{-2x}[{3C_{1}sin(3x)-3C_{2}cos(3x)}]-2e^{-2x}[{C_{1}cos(3x)+C_{2}sin(3x)}]}](../../../_assets_/eb734a37dd21ce173a46342d1cc64c92/a02680e4ac5a1a1b5aac0c790c409aa7ea30cf5e.svg)
|
|
(9-8)
|
We know have to find what
and
are equal to. From what we already know about our initial conditions we can apply those and what we found
and
to be into both (9-7)
-
![{\displaystyle y(0)=1=e^{-0}[C_{1}cos(3\times 0)+C_{2}sin(3\times 0)]}](../../../_assets_/eb734a37dd21ce173a46342d1cc64c92/0a58d994c2ee1f577d8fb155a9bd7e20ffd3476d.svg)
|
|
|
-

|
|
|
and (9-8).
-
![{\displaystyle y'(0)=0=e^{-2\times 0}[{3C_{1}sin(3\times 0)-3C_{2}cos(3\times 0)}]-2e^{-2\times 0}[{C_{1}cos(3\times 0)+C_{2}sin(3\times 0)}]}](../../../_assets_/eb734a37dd21ce173a46342d1cc64c92/0492cc1d2011825b37481e089d7229069eb942ee.svg)
|
|
|
-

|
|
|
-

|
|
|
We have now found out what all the variables are equal to and we can plug them into (9-4), getting out final answer
-
![{\displaystyle y(x)={\frac {1}{3}}e^{-2x}[3cos(3x)+2sin(3x)]}](../../../_assets_/eb734a37dd21ce173a46342d1cc64c92/3d769993e6fa976e8f6bd02470b2e0c3920827d8.svg)
|
|
(9-9)
|
When we graph this solution it looks like
Part 2
For the second part we had to graph the equations from problems 2.1, 2.6 and 2.9.
-

|
|
|
-

|
|
|
-

|
|
|
Contributions
Typed by - Ron D'Amico 2/7/2012 10:39 PM UTC
Reviewed By - Jennifer Melroy 2/6/2012 2:15 UTC
Edited By - N/A
Contributing Members
Team Contribution Table
|
| Problem Number |
Solved and Typed By |
Proofread By
|
| 2.1 |
Maxwell Shuman |
name
|
| 2.2 |
Dalwin Marrero |
name
|
| 2.3 |
Mark James |
name
|
| 2.4 |
Dalwin Marrero |
name
|
| 2.5 |
Jennifer Melroy |
name
|
| 2.6 |
Yamil Herrera |
name
|
| 2.7 |
Avery Cornell |
name
|
| 2.8 |
Yamil Herrera |
name
|
| 2.9 |
Ron D'Amico |
name
|