Lösung
- Zu zwei Vektoren
nennt man
-

den Abstand zwischen
und
.
- Eine
lineare Abbildung
-
heißt Isometrie, wenn für alle
gilt:
-

- Man nennt einen Endomorphismus
-
adjungiert
zu
, wenn
-

für alle
gilt.
- Eine Teilmenge
heißt Untergruppe von
wenn folgendes gilt.
-
.
- Mit
ist auch
.
- Mit
ist auch
.
- Die Abbildung
heißt stetig in
, wenn für jedes
ein
derart existiert, dass
-

gilt.
- Es sei
der von sämtlichen Symbolen
(mit
)
erzeugte
-Vektorraum
(wir schreiben die Basiselemente als
).
Es sei
der von allen Elementen der Form
,
,
erzeugte
-Untervektorraum von
. Dann nennt man den Restklassenraum
das Tensorprodukt der
,
. Es wird mit
-
bezeichnet.
Formuliere die folgenden Sätze.
- Der Satz über die Charakterisierung von reellen Isometrien mit Matrizen.
- Der
Charakterisierungssatz
für stabile Endomorphismen.
- Der Satz über die Dimension des Tensorproduktes.
Lösung
- Es sei
ein euklidischer Vektorraum und
eine Orthonormalbasis von
. Es sei
-
eine lineare Abbildung und
die beschreibende Matrix zu
bezüglich der gegebenen Basis. Dann ist
genau dann eine Isometrie,
wenn
-

ist.
- Es sei
ein endlichdimensionaler
-Vektorraum und
-
ein Endomorphismus. Dann sind folgende Eigenschaften äquivalent.
-
ist stabil.
- Zu jedem
ist die Folge
,
, beschränkt.
- Es gibt ein Erzeugendensystem
derart, dass
,
, beschränkt ist.
- Der Betrag eines jeden komplexen Eigenwerts von
ist kleiner oder gleich
und die Eigenwerte mit Betrag
sind diagonalisierbar, d.h. ihre algebraische Vielfachheit ist gleich ihrer geometrischen Vielfachheit.
- Für eine beschreibende Matrix
von
, aufgefasst über
, sind die Jordan-Blöcke der jordanschen Normalform gleich
-
mit
oder gleich
mit
.
- Es sei
ein Körper und seien
endlichdimensionale Vektorräume über
. Dann ist die Dimension des Tensorproduktes gleich
-

Zeige, dass ein
normierter
-
Vektorraum
durch
-

zu einem
metrischen Raum
wird.
Lösung
- Es ist
genau dann, wenn
,
also
ist.
- Es ist

- Für beliebiges
ist nach der Definition einer Norm

Lösung
Wir behaupten, dass der Abstand im Punkt
angenommen wird. Aufgrund der Normierung handelt es sich um einen Punkt von
. Es sei
ein weiterer Punkt des Einheitskreises. Die Punkte
liegen auf einer Geraden, und da
außerhalb des Kreises liegt, ist
-

Aufgrund der
Dreiecksungleichung
ist
-

und hierbei gilt sogar
, wenn die drei Punkte nicht auf einer Geraden liegen
(siehe
Aufgabe 31.9 (Lineare Algebra (Osnabrück 2024-2025))).
Somit ist für
-

(wenn
der gegenüberliegende Punkt ist, so ist der Abstand erst recht größer).
Bestimme die Schnittpunkte des Einheitskreises mit der durch
-

gegebenen Geraden.
Lösung
Der Einheitskreis ist durch
-

gegeben. Darin setzen wir
-

ein und erhalten
-

Also ist
-

und damit

Somit ist

Die Schnittpunkte sind also
und
.
Lösung
Es sei
-

und
-

Dann ist
-

Die Längen dieser Vektoren sind
. Somit gilt

Lösung
Aufgabe (0 Punkte)
Lösung erstellen
Lösung
Aufgabe (0 Punkte)
Lösung erstellen
Zeige, dass die folgende Relation eine
Äquivalenzrelation
auf
ist:
-
Lösung
Es ist
ein Teiler von
-

daher ist
,
was die Reflexivität bedeutet. Sei
.
Dies bedeutet, dass
ein Teiler von
ist, was wiederum bedeutet, dass
-

mit einem gewissen
ist. Durch Multiplikation mit
erhält man
-

Also ist
auch ein Teiler von
und somit ist
,
was insgesamt die Symmetrie bedeutet. Zum Nachweis der Transitivität seien schließlich
und
.
Somit ist
-

und
-

mit gewissen
.
Insgesamt ergibt sich
-

sodass auch
ein Vielfaches von
ist. Also ist
.
Wir betrachten die Abbildung
-
Zeige, dass es sich dabei um einen
inneren Automorphismus
handelt.
Lösung
Die
inverse Matrix
zu
ist
. Mit dieser Matrix ist

somit handelt es sich um eine Konjugation mit einer invertierbaren Matrix.
Lösung
Wir schreiben die Drehungen als Teildrehungen einer Volldrehung, also
-
Mit dem Hauptnenner

sind dies die Drehungen
-
Jede dieser Drehungen ist ein Vielfaches der
-Drehung. Andererseits sind die Zahlen
und
teilerfremd, sodass es eine Darstellung der
gibt. Daher ist die von den drei Drehungen erzeugte Untergruppe genau die von der
-Drehung erzeugte Untergruppe und enthält daher
Elemente.
Zeige, dass die
Diedergruppen
,
,
nicht
kommutativ
sind.
Lösung
Wir realisieren die Diedergruppe
als Symmetriegruppe einer Doppelpyramide über einem regelmäßigen
-Eck in der
-Ebene, wobei
ein Eckpunkt sei. Die Drehungen des
-Ecks sind.
-
mit
-

für
-

und die Halbdrehung um die
-Achse, die durch
-
beschrieben wird, gehört auch zur Gruppe. Es ist
-

und
-

Die Produkte stimmen genau dann überein, wenn
-

ist, was
-

also
-

bedeutet. Bei
ist aber nicht jeder Drehwinkel von dieser Form.
Es sei
ein
Körper,
der Polynomring in der einen Variablen
über
und
der Quotientenkörper davon, also der Körper der rationalen Funktionen. Auf
definieren wir die Relation
-

wenn es Polynome
und
vom gleichen Grad
mit
-

gibt.
a) Zeige, dass durch
eine
Äquivalenzrelation
gegeben ist.
b) Bestimme die
Äquivalenzklasse
zu
.
c) Es seien
Polynome
. Zeige, dass
-

genau dann gilt, wenn
-

d) Zeige, dass jedes
,
,
einen eindeutig bestimmten Repräsentanten der Form
mit
besitzt.
Lösung erstellen
Aufgabe (0 Punkte)
Lösung erstellen
Berechne für die Matrix
-
die
Maximumsnorm,
wenn der
als Definitionsraum mit der
euklidischen Norm
und als Zielraum mit der
Summennorm
versehen ist.
Lösung
Es ist
-

Die Maximumsnorm ist das Maximum der Summe der Beträge der beiden Einträge, also
für die Menge
-

Das Maximum wird auf dem Ausschnitt des Randes mit
und
angenommen, es geht um das Maximum der Funktion
-

auf
. Das Maximum wird im Punkt
mit dem Wert
. Dies ist also die Maximumsnorm der Matrix.
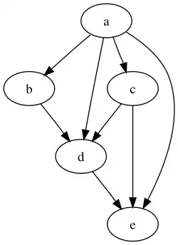
Lösung
Die Adjazenzmatrix zum Graphen ist
-
und die spaltenstochastisch gemachte Adjazenzmatrix
-
Es seien
ein
endlichdimensionaler
-
Vektorraum
und
-
eine
lineare Abbildung,
die bezüglich der
Basen
von
und
von
durch die Matrix
beschrieben werde. Es sei
eine
Körpererweiterung.
Zeige, dass die
-lineare Abbildung
-
bezüglich der
-Basen
von
und
von
ebenfalls durch die Matrix
beschrieben wird.
Lösung