Kurs:Lineare Algebra (Osnabrück 2024-2025)/Teil II/Arbeitsblatt 54
- Übungsaufgaben
Es sei eine spaltenstochastische Matrix. Zeige, dass das Bild eines jeden Verteilungsvektors wieder ein Verteilungsvektor ist.
Diskutiere in der Situation von Beispiel 54.2 die Spezialfälle
- und ,
- und ,
- und ,
- und ,
- ,
- .
Wir betrachten die spaltenstochastische Matrix
mit
.
a) Berechne die Eigenwerte der Matrix.
b) Berechne eine
Eigenverteilung.
Wir betrachten eine stochastische Matrix, bei der jede Spalte gleich ist. Bestimme die Eigenverteilung und eine Basis des Kerns zu dieser Matrix.
Man interpretiere eine Permutationsmatrix als eine stochastische Matrix. Was sind die Eigenverteilungen?
Was bedeutet es für eine spaltenstochastische Matrix, dass in einer Zeile alle Einträge positiv sind, und was bedeutet es, dass in einer Spalte alle Einträge positiv sind?
Zeige, dass die Menge der spaltenstochastischen Matrizen in der Sphäre zum Radius bezüglich der Spaltensummennorm enthalten ist. Gilt hierbei Gleichheit?
Man mache sich klar, dass die Konzepte Relation auf einer Menge (im Sinne von Definition 45.1, wobei die beiden beteiligten Mengen gleich sein mögen) und gerichteter Graph (im Sinne eines Pfeildiagrammes, wobei es von einem Punkt zu einem weiteren Punkt maximal einen Pfeil geben darf) mathematisch äquivalent sind.

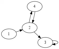
Erstelle die Adjazenzmatrix zum gerichteten Graphen rechts.
Welche Besonderheiten zeichnet eine Adjazenzmatrix zu einer Äquivalenzrelation aus?
Drücke für die Gruppe der Fußball-Europameisterschaft 2016 die Gewinnstruktur als eine Relation, durch ein Pfeildiagramm (einen gerichteten Graphen) und durch eine Adjazenzmatrix aus.
Erstelle für die Gruppe der Fußball-Europameisterschaft 2016 die stochastische Matrix, die sich aus der erweiterten Adjazenzmatrix zur Gewinnstruktur ergibt, bei der in der Diagonalen überall Einsen (Selbstsieg) stehen (damit keine Nullspalte auftritt). Wie lautet die zugehörige Eigenverteilung?
In einer Fußballgruppe mit Mannschaften (beispielsweise einer EM-Gruppe oder einer Bundesligahinrunde) spielt jede Mannschaft gegen jede andere Mannschaft, bei einem Sieg gibt es 3 Punkte, bei einem Unentschieden 1 Punkt und bei einer Niederlage keinen Punkt. Die Ergebnisse werden in einer -Matrix derart verbucht, dass der Eintrag an der Stelle angibt, wie viele Punkte die Mannschaft im Spiel gegen erzielt hat (an der Stelle steht ). Welcher Vektor kommt heraus, wenn man diese Matrix auf den Vektor anwendet? Erstelle diese Matrix für die Gruppe der Fußball-Europameisterschaft 2016.
Bei Studierenden verschiedender Fächer wurden von einem Semester zum nächsten folgende Wanderungsbewegungen statistisch festgestellt:
a) Wer Mathematik studiert, bleibt zu bei der Mathematik, wechselt zu zur Philosophie, zu zur Physik und nimmt sich zu ein Freisemester.
b) Wer Philosophie studiert, bleibt zu bei der Philosophie, wechselt zu zur Mathematik, zu zur Physik und nimmt sich zu ein Freisemester.
c) Wer Physik studiert, bleibt zu bei der Physik, wechselt zu zur Mathematik und nimmt sich zu ein Freisemester.
d) Wer ein Freisemester eingelegt hat, bleibt zu beim Freisemester und wechselt jeweils zu zur Mathematik, zur Philosophie oder zur Physik.
- Erstelle eine stochastische Matrix, die diese Wanderungsbewegungen darstellt.
- Durch welche Matrix wird die Wanderungsbewegung vom dritten zum sechsten Semester beschrieben?
- Die Erstsemester fangen zu einem Drittel mit den Studienfächern Mathematik, Philosophie oder Physik an. Wie groß ist der Anteil der Studierenden, die in ihrem vierten Semester ein Freisemester einlegen?
Berechne die Eigenverteilung zur spaltenstochastischen Matrix
Wir betrachten die spaltenstochastische Matrix
Bestimme das minimale derart, dass in der -ten Potenz die Differenz der ersten zur zweiten Spalte bezüglich der Maximumsnorm des ist.
Es sei ein Kreis mit sechs (äquidistanten) Knoten gegeben, die mit bezeichnet seien. Bei einem Bewegungsprozess seien die Wahrscheinlichkeiten, stehen zu bleiben oder zu dem linken oder rechten Nachbarn zu wechseln, konstant gleich . Erstelle die zugehörige stochastische Matrix und berechne die Eigenverteilung(en).
Es sei eine spaltenstochastische -Matrix. Zeige direkt, dass ein Eigenwert von ist.
Unter welchen Bedingungen gilt für reelle Zahlen die Gleichheit
Es sei eine - spaltenstochastische Matrix und sei
a) Zeige, dass invariant unter ist.
b) Zeige, dass die Einschränkung
stabil
ist.
c) Zeige, dass die Einschränkung nicht
asymptotisch stabil
sein muss.
Es sei eine spaltenstochastische Matrix, bei der eine Zeile ausschließlich aus positiven Einträgen bestehe. Zeige, dass die Folge gegen eine Matrix konvergiert, bei der jede Spalte gleich ist.
Wir wollen Aussagen über die
Determinante
einer
spaltenstochastischen
-
Matrix
machen.
a) Zeige, dass für die Determinante einer spaltenstochastischen Matrix die Beziehung
gilt.
b) Man gebe ein Beispiel für eine spaltenstochastische Matrix, die nicht die Einheitsmatrix sei, mit
c) Es sei
und besitze zusätzlich die Eigenschaft, dass es eine Zeile mit ausschließlich positiven Einträgen gebe. Zeige
- Aufgaben zum Abgeben
Aufgabe (3 Punkte)
Zeige, dass die Menge der spaltenstochastischen Matrizen eine abgeschlossene Teilmenge im Matrizenraum ist.
Aufgabe (4 Punkte)
Aufgabe (3 Punkte)
Berechne die Eigenverteilung zur spaltenstochastischen Matrix
Aufgabe (3 Punkte)
Zeige, dass das Produkt von zwei spaltenstochastischen Matrizen wieder spaltenstochastisch ist. Ist die inverse Matrix zu einer invertierbaren spaltenstochastischen Matrix wieder spaltenstochastisch?

Aufgabe (8 Punkte)
Eine (Fußball-)Spielgruppe bei einer Europa- oder Weltmeisterschaft besteht aus vier Mannschaften, und jede spielt gegen jede. Ein Spiel kann unentschieden oder mit einem Sieg für eine der beiden Mannschaften enden. Wir interessieren uns für die diskrete Struktur einer Spielgruppe, die man durch einen gerichteten Graphen beschreiben kann, wobei man einen Sieg von über durch einen Pfeil von nach (und ein Unentschieden durch keine Verbindung) ausdrücken kann.
Definiere einen Isomorphiebegriff für Spielgruppen und klassifiziere die Spielgruppen entlang geeigneter numerischer Invarianten. Wie viele Spielgruppen gibt es? Aus welchen Isomorphietypen lässt sich die Tabellenordnung ableiten, aus welchen nicht?
| << | Kurs:Lineare Algebra (Osnabrück 2024-2025)/Teil II | >> PDF-Version dieses Arbeitsblattes Zur Vorlesung (PDF)
|
|---|